——————
杨-米尔斯理论的数学结构是“几何-拓扑-代数”三位一体:
几何层把场诠释为主丛联络;拓扑层用瞬子与示性类刻画非微扰扇区;代数层用 L∞-或微分分次李代数统一编码对称性与方程。
三者的交叉不仅为标准模型的量子计算提供严格框架,也反向推动了四维拓扑、复几何与范畴论的发展。
一、几何语言:主丛-联络-曲率
1. 主丛 P(M,G)
底流形 M(一般取 4 维洛伦兹或欧氏时空)。
结构群 G⊂U(n) 为紧致李群,对应物理上的色对称群。
2. 联络 1-形式 ω∈Ω¹(P,g)
局部平凡化下拉回给出规范势 A=sω,对应物理上的胶子场。
规范变换等价于不同局部截面之间的过渡函数 u:M→G 的主动变换:
A↦u⁻¹Au+u⁻¹du
3. 曲率 2-形式 F=dA+A∧A
满足比安基恒等式 DAF=0(几何恒等式)。
杨-米尔斯方程 DAF=0(变分运动方程)。
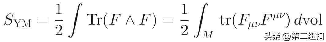
4. 作用量泛函

其临界点即杨-米尔斯方程;几何上对应“杨-米尔斯联络”——使 L²-范数曲率取极值的联络。
二、拓扑与瞬子
1. 第二陈类/庞特里亚金数
k=1/(8π²)∫Tr(F∧F)∈ℤ
把四维流形上的规范场按整数 k 分类,称瞬子数。
2. 瞬子解
欧氏空间中自对偶 F=F(或反自对偶 F=−F)的有限作用量解。
模空间 _k 维数=8k−3,携带自然超凯勒度量,是 Donaldson 理论的基石。
3. 拓扑量子场论嵌入
通过 BFYM 或 TYM 的场重定义,可把纯杨-米尔斯作用量拆成“拓扑项+量子涨落”,瞬子贡献表现为非微扰隧穿效应。
三、代数视角:L∞-代数与同源
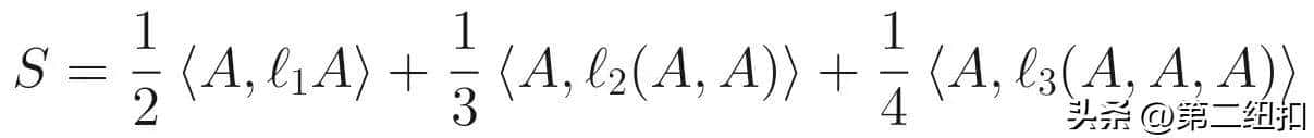
1. 将规范场 A∈Ω¹(M,g) 放入分次向量空间
V=Ω⁰⊕Ω¹⊕Ω^{d−1}⊕Ω^d,
赋予高阶括号 ℓ₁,ℓ₂,ℓ₃,使得杨-米尔斯作用量写成同伦李代数意义下的“同源作用量”:

2. 该 L∞-代数编码了规范对称性、场方程与诺特恒等式的全部信息,为 BV-BRST 量子化提供代数骨架。
四、超对称与复几何
1. 最大超对称杨-米尔斯可置于复化超平移群商空间 R 上。
2. 把规范势组合成 (0,1)-型联络 ω,则杨-米尔斯方程等价于 Maurer-Cartan 方程
∂̄ω+ω∧ω=0
从而把解空间刻画为某种全纯向量丛的模空间。
五、分析与模空间
1. Uhlenbeck 紧化:
在四维情形下,对连接序列 {A_i} 若 ∫|F|²≤Λ,则存在“气泡”极限,保证模空间在扣去可去奇点后紧。
2. Sobolev 完备化:
取 A∈H¹,²(M,TM⊗g),G⊂H²,²(M,G),可在商空间 =A/G 上定义局部坐标与黎曼度量,为研究质量 gap、谱几何提供分析基础。
六、现代交叉前沿
1. Donaldson–Witten 不变量:
用 _k 的拓扑数据定义四维光滑流形微分不变量,揭示四维独有的“ exotic ℝ⁴”现象。
2. AdS/CFT 与全息:
四维 N=4 超杨-米尔斯对应十维 IIB 弦在 AdS₅×S⁵ 背景,为研究强耦合 gauge 理论提供可计算框架。
3. 非交换与编织对称:
把时空坐标非交换化后,规范群推广至量子群,L∞-代数结构仍保持,仅修改括号与霍奇算子,给出非交换杨-米尔斯的一致定义。




