盾灵导航
极简导航本机IP记事本
  • 网站导航
  • 排行榜
  • 极简导航
  • blog
  • 收录投稿
  • 在线工具
    • 本机IP
    • 高清壁纸
    • 记事本
    • 2FA验证器
    • 计算器
    • 文本对比
    • 键盘测试
    • 随机数生成
    • 条形码生成
    • 数字大小写
    • 科学计算器
    • 源码交易
    • 更多小工具
      • 未登录
        登录后即可体验更多功能
    • 网站导航
    • 排行榜
    • 极简导航
    • blog
    • 收录投稿
    • 在线工具
      • 本机IP
      • 高清壁纸
      • 记事本
      • 2FA验证器
      • 计算器
      • 文本对比
      • 键盘测试
      • 随机数生成
      • 条形码生成
      • 数字大小写
      • 科学计算器
      • 源码交易
      • 更多小工具
    未登录
    登录后即可体验更多功能
    首页•内容分享•AI文献笔记-69

    AI文献笔记-69

    内容分享2个月前发布
    1 0 0

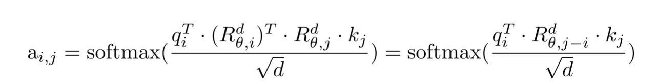
    。通过同心因果注意力减轻大型视觉语言模型的物体幻觉标题:Mitigating Object Hallucination viaConcentric Causal Attention地址:https: arxiv.org abs 2410.15926AI文献笔记-69
    AI文献笔记-69
    AI文献笔记-69
    AI文献笔记-69
    AI文献笔记-69
    AI文献笔记-69
    AI文献笔记-69
    AI文献笔记-69
    AI文献笔记-69
    AI文献笔记-69
    AI文献笔记-69
    AI文献笔记-69
    AI文献笔记-69
    AI文献笔记-69
    AI文献笔记-69

    内容分享# 位置编码# 多模态模型# 大语言模型
    © 版权声明
    文章版权归作者所有,未经允许请勿转载。
    上一篇

    HF-HuggingFace简介-01

    下一篇

    太不可思议了,这些机器人一旦被投入市场,不敢想象又会有多少人失业

    相关文章

    建设智算中心-人工智能开发平台网络架构常用技术

    新建设智算中心-人工智能开发平台网络架构常用技术

    内容分享
    头像5天前
    220
    超详细!Python中 pip 常用命令

    超详细!Python中 pip 常用命令

    内容分享
    头像2周前
    100
    【苍狮技术团队】Dify v1.8.0 上线:全面升级工作流与代理功能,引入多模型凭证系统,性能、安全与开发者体验再上新台阶,支持一键部署

    【苍狮技术团队】Dify v1.8.0 上线:全面升级工作流与代理功能,引入多模型凭证系统,性能、安全与开发者体验再上新台阶,支持一键部署

    内容分享
    头像2个月前
    010
    二、git的简单使用和基本操作

    二、git的简单使用和基本操作

    内容分享
    头像2周前
    000

    暂无评论

    再想想
    none
    暂无评论...
    头像
    读者
    1002
    AI文献笔记-69

    热门网站

    日榜周榜月榜
    头歌实践教学平台

    新头歌实践教学平台

    (EduCoder)是信息技术类实践教学平台。(EduCoder)涵盖了计算机、大数据、云计算、人工智能、软件工程、物联网等专业课程。超60000个实训案例,建立学、练、评、测一体化实验环境。
    立创商城

    新立创商城

    立创商城(SZLCSC.COM) 一站式电子元器件采购自营商城,拥有13万+平米智能化仓储,现货SKU品类超64万种,正品保证,支持一键BOM配单,最快4小时发货,为用户提供一站式电子元器件线上采购服务。
    剑网3 » 魔盒(JX3BOX)

    新剑网3 » 魔盒(JX3BOX)

    剑网3 » 魔盒(JX3BOX) - 一站式剑网3资源工具站
    135编辑器

    新135编辑器

    135编辑器是专业的微信公众号编辑器,提供AI智能图文排版解决方案。拥有海量版权样式素材,支持秒刷排版、AI图片素材编辑、智能水印和AI一键排版等功能,让微信公众号图文编辑更高效轻松。
    巨潮资讯网

    新巨潮资讯网

    巨潮资讯网是中国证监会指定的上市公司信息披露网站,平台提供上市公司公告、公司资讯、公司互动、股东大会网络投票等内容功能,一站式服务资本市场投资者。

    聚神铺导航是一个聚合全网免费实用的网址大全,专注宝藏工具,在...
    查看完整榜单

    热门文章

    日榜周榜月榜
    JavaScript篇面试题

    新JavaScript篇面试题

    头像10小时前
    4
    《迷航昆仑墟:异生》2025国创4K超清全集_迷航昆仑墟异生樱花动漫无修连播_星辰影院&VS影视零广告在线看_迅雷/夸克/阿里云极速秒传下载

    新《迷航昆仑墟:异生》2025国创4K超清全集_迷航昆仑墟异生樱花动漫无修连播_星辰影院&VS影视零广告在线看_迅雷/夸克/阿里云极速秒传下载

    头像10小时前
    3
    法国《急救护士》完整未删版4K画质_多终端在线秒播-人人影视《急救护士》无删减高清资源全网流畅播放-法国《急救护士》啄木鸟影视未删减全集在线看_急诊室里的生死博弈,看完我湿了三包纸巾……

    新法国《急救护士》完整未删版4K画质_多终端在线秒播-人人影视《急救护士》无删减高清资源全网流畅播放-法国《急救护士》啄木鸟影视未删减全集在线看_急诊室里的生死博弈,看完我湿了三包纸巾……

    头像11小时前
    2
    拿来主义与跳进坑里:技术引进困境的分析与解决之道

    拿来主义与跳进坑里:技术引进困境的分析与解决之道

    头像2个月前
    4
    真的不想打击AI Agent的小朋友但我想说…

    真的不想打击AI Agent的小朋友但我想说…

    头像1个月前
    1
    解构顶级大神AI画图工作流

    解构顶级大神AI画图工作流

    头像1个月前
    1
    查看完整榜单

    标签云

    盾灵导航
    盾灵安全 AI网址导航,电脑端和手机端无缝切换访问! 用户可收藏和添加自定义的网址,也可以导入现有的浏览器书签,定制自己专属导航主页,收录包含AI工具、办公、直播、素材、视频、音乐、小说、购物等分类的优秀网站大全!

    服务协议 版权保护 免责声明 关于我们 联系我们

    扫码加QQ群盾灵导航
    扫码加QQ群
    Copyright © 2025 盾灵导航 赣ICP备2025071319号-1  赣公网安备36020002000614号 
    网址
    网址文章软件书籍