17世纪以来,解析几何崛起,人们习惯用坐标来描述空间。但这套方法有个根本问题:坐标系统是人为的,几何对象是客观的,两者之间如何脱钩?
举个最简单的例子:一个向量的长度,在不同坐标系下应保持不变;一条曲线的切线方向,旋转坐标不应该改变它的几何含义。

于是问题来了:哪些表达式在坐标变换下“不变”?哪些是“伪对象”?
答案不能靠直觉,必须靠结构。
这时,数学家开始思考:如果一个量在不同坐标系中变化,但其整体结构保持一致,那就说明它是“几何不变”的。最早的尝试是对向量、矩阵、线性变换做出系统描述,但这还不够。
由于几何中出现了越来越多多指标对象,列如曲面的第二基本形式、应力的分布函数,它们不再是简单的一维量,而是需要两个、三个甚至更多坐标指标来定位。
单靠向量、标量已无法表达这些结构。坐标变换也不再只是简单的旋转平移,而是任意映射下,变量如何重新“排列组合”。
这种需求,就是张量的出发点。
张量的核心,不是它有几个指标,而是它在坐标变换下怎么变。
但这个抽象概念并不是先由数学家提出的,而是由物理需求逼出来的——最早是在材料科学。
柯西与应力张量:物理率先给出“多指标量”
19世纪初,张量尚未成名,物理却已经先用上了它的“雏形”。
1822年,柯西在研究弹性体内部的力学平衡时,遇到了一个难题:如何描述物体内部任意一点处,朝任意方向作用的力?

靠向量不行。由于作用力的方向是一维,但接触面的方向也是一维,两者的组合变成了二维依赖结构。换句话说,要描述“朝 i 方向的力作用在 j 方向的面上”,需要两个指标。这就是“应力张量”最早的数学雏形。
柯西因此引入了一个 3×3 的矩阵,也就是今天所谓的二阶张量,表明任意方向上的面,对应任意方向上的力。

重大的不只是这个矩阵,而是这个结构满足一个核心逻辑:它在旋转坐标系时会跟着变,但变法是有规律的,最终计算结果(列如合力、能量密度)不变。
这就是张量观念的萌芽:对象本身在不同坐标下“变脸”,但物理量不动。
柯西没有发明“张量”这个词,但他第一次构造了一个物理意义上必须具有两个指标的量。这是从向量到张量的关键一跳。
在他之后,弹性理论、连续介质力学、电磁张量等纷纷开始使用这类结构。张量不是从数学中生出来的,而是从工程中逼出来的。
不过柯西关心的还是具体的力和平衡问题。他没有也不需要系统建立“张量变换律”。
黎曼与曲面:度量张量与内在几何结构的诞生
1854年,黎曼在一篇题为《论几何的基础》的讲座中,扔出一句划时代的话:
几何的基础应建立在量与量之间的可度量关系上。
这不只是反对欧几里得几何,而是引入一个根本性转变:空间不是预设的,几何由内部的度量结构决定。
他提出:在一个任意曲面的任意一点,长度、角度、体积等几何量,都应由一个叫作“度量张量”(metric tensor)的东西来定义。这个对象——我们今天写作 g_ij——就是现代张量理论的正式起点。
它有两个指标,告知你:在该点,坐标方向 i 与方向 j 之间的“度量关系”是多少。
更重大的是:它不是坐标赋予的,而是空间本身的“本地属性”。
这就是所谓的内蕴几何:不再依赖把曲面嵌入三维空间看弯曲,而是直接在曲面自身上定义“测量规则”。
从此,曲率、长度、体积等几何量,统统都被还原为对 g_ij的计算。黎曼本人还提出了今天被称为“黎曼曲率张量”的雏形,虽然他没有写下完整公式,但框架已经具备。
他没有叫它“张量”,但他给出了最早的、具有清晰几何含义的对称二阶张量,并且指出:它的变换方式决定了它是不是“真正的几何对象”。
如果说柯西的张量来自物理结构的多维依赖,黎曼的张量则来自几何结构的自洽性需求。
这时张量还只是个“方法”,不是一个“体系”。它的计算规则、导数推广、坐标变换律都还没建立。
克里斯托费尔与协变导数:张量运算的规则建立
有了黎曼度量张量,几何不再是画图,而是做计算。
但一个新的问题马上出现了:
如果张量是几何对象,那我们能不能对它求导数?
换句话说,张量场的“变化率”还能是张量吗?
答案是:不能直接求偏导数。
由于张量的变换规则超级特殊。你直接对它求偏导数,不会再得到一个“按张量规则变换”的对象。也就是说,普通导数不能保持张量性。
这时候,克里斯托费尔在1869年引入了一个关键概念:协变导数(covariant derivative)。
为了让张量在不同坐标系中求导后依旧“像张量那样变”,他引入了一组修正项——这就是今天我们熟知的克里斯托费尔符号(Christoffel symbols),记作

这些符号本身不是张量,但用来纠正偏导数的不变性问题。加上它们之后,导数操作才恢复了张量结构。
这一步彻底打开了张量分析的大门。
从此之后:
- 可以定义张量的梯度、散度、拉普拉斯等操作;
- 可以比较不同点之间张量的“平行传播”;
- 可以写出曲率、连接、测地线的准确定义。
这也标志着:张量不再只是个多指标量,而是构成可微几何结构的基本语言。
克里斯托费尔虽然是做几何的,但他建的这套微积分系统,直接被后来的引力理论、规范场论、现代微分几何全面继承。
他没有发明“张量”这个词,但他给出了“如何运算张量”的全部规则框架。
这个词的正式确立,则来自两个意大利人。
绝对张量分析学派:里奇–列维–奇塔与形式主义的确立
到了19世纪末,张量的雏形已经具备:有了多指标对象(柯西),有了变换不变量的思想(黎曼),也有了正确的导数定义(克里斯托费尔)。但这些都是“散件”。
要把这些散件组装成一套可复制、可教学、可编程的数学语言,还差临门一脚。

这一步,由意大利数学家里奇(Gregorio Ricci-Curbastro)完成。他在19世纪90年代系统整理了所有前人成果,创建了一整套以“坐标无关”为核心的计算体系,他称之为:
“绝对微积分”(calcolo differenziale assoluto)
这是历史上第一次把张量作为一等公民登上数学舞台,不再只是“多指标表格”,而是构造几何、力学、物理规律的通用语言。
他的学生——列维-奇塔(Tullio Levi-Civita)——将这套语言进一步优化和推广,加入了现代记号、更加系统的分类,并写成教材。他最重大的贡献之一是引入了“张量变换律”作为定义标准:
凡是在坐标变换下按特定规则变化的多指标对象,才配叫“张量”。
这套标准一经确立,就像编程语言的语法规范一样,为后世无数几何、物理理论打下了语法基础。
到20世纪初,张量已经拥有:
- 明确的分类:标量(一阶0阶张量)、向量(一阶张量)、二阶张量等;
- 准确的定义方式:通过变换律;
- 完整的运算规则:加法、乘法、缩并、协变导数;
- 应用场景:从弹性力学到黎曼几何。
但这套语言还停留在数学圈子里,没掀起大风浪。
直到爱因斯坦在1915年将其引入引力理论,张量才成为物理学中不可动摇的基础语法。
爱因斯坦与广义相对论:张量成为引力的唯一语言
1915年,爱因斯坦站在普鲁士科学院讲台上,提出广义相对论。他没有从实验出发,也没有直接从几何构造,而是从一个极其大胆的思想出发:
物理定律的形式必须在所有参考系下保持不变。
这叫广义协变性。
问题是,用什么语言能保证“所有参考系下形式不变”?经典力学不行,矢量形式也不够——只有一套东西具备这个能力:
张量。
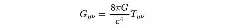
爱因斯坦直接引入了张量分析语言,把引力重新定义为“时空弯曲”,并用度量张量 g_μν 来描述时空结构。这个度量不再只是距离的计算器,而是决定光线如何传播、物体如何下落的物理结构。
他的核心公式:

两边全是张量。左边是空间的几何,右边是能量与动量的分布,整个宇宙的动力学就浓缩在这一张量等式中。
张量,从此脱离了数学的边缘地位,成为理论物理的“主语”。
但故事没有结束。狭义相对论也需要张量语言来表达洛伦兹协变性。量子力学和场论随后也发现:如果你想让局域对称性成立,张量结构必须内嵌进去。
张量,变成了物理的普遍语法。
张量分析与洛伦兹协变:狭义相对论的形式升级
爱因斯坦在1905年提出狭义相对论,最初只用到了简单的代数与坐标变换。但很快,物理学家发现:要将它写得更优雅、更通用,尤其是让它能扩展到场论,就不能只靠坐标公式——必须用张量语言重写一切。
狭义相对论的核心是:物理规律在洛伦兹变换下形式不变。
张量天生就适合干这件事。由于张量的定义本身就是:在任意坐标变换下按规则变化,从而保证整体表达保持结构不变。这正是“协变性”的含义。
于是,物理学开始以张量为基本单位,重写经典力学和电磁学,麦克斯韦方程在这个新语言下变成两条张量方程,简洁、对称、自动协变。
没有张量,你就无法说清什么是真实、什么是伪量,什么是标量场、什么是矢量场,什么能参与作用,什么是数学产物。
张量语言的引入,还为后来的量子场论提供了结构模板。你想让一个场是玻色子?那它必须是某种对称张量;你想让它是费米子?那你必须从旋量这个张量的“子种类”中选取。
接下来,这种结构进入量子时代,与对称性、群论、规范性联手,成就了现代物理最深的结构。
量子场论与规范场:张量结构与局域对称性的结合
到了20世纪中叶,量子力学与相对论融合成了量子场论(Quantum Field Theory, QFT)。这时张量不再只是表达物理量的容器,而成为整个理论结构必须服从的框架。
核心原则是:
物理规律必须在局域对称性(规范对称性)下保持不变。
简单说就是:你可以在每一点自由地“旋转”内部自由度(如相位、色荷、味道……),但物理不能因此改变。这种局域旋转不是几何意义上的旋转,而是抽象空间(李群)中的对称变换。
这时候,张量语言再次登场,不只是坐标变换的“工具”,而是群表明的承载体:
- 标量场对应 SU(n) 群的不变表明
- 矢量场是张量的一阶形式
- 电磁场(QED)通过反对称张量F_μν 描述
- 胶子场(QCD)通过 SU(3)群下的非阿贝尔张量结构组织
- 弱相互作用的玻色子通过 SU(2) 群矩阵构造出来
- 引力理论的推广(如规范引力)更是建立在度量张量和连接张量之间的变换结构上
你想让一个量“参与相互作用”,那它就必须是群的一个表明;你想让这个表明能写进拉格朗日量,那它就必须变换成张量形式。
连最核心的物理对象——拉格朗日量、作用量、能动张量、流密度、散度项……都必须是张量或张量密度。
更关键的是,张量给了我们计算“可观测量”的最短路径。由于你不知道自然的“本体”是什么,但你知道它必须在变换下给出不变预测,而这正是张量最擅长的事。
从规范场理论中,我们看到一个结构性实际:
张量是连接对称性与相互作用的最小语言单位。
如果没有张量,你没法让对称性“落地”,也没法构造作用,也就没法预测粒子如何交换。
接下来,数学家进一步从张量出发,构造更抽象的工具——丛、纤维、李代数表明空间。张量又一次被“升维”。
李群、纤维丛与弯曲空间:张量工具的抽象推广
到这一步,张量已经是坐标变换下的不变量表达、物理对称结构的载体。但在更高层次,数学家开始问:
张量为什么“变成这样”?它们的变换规则背后有什么更深的结构?
这时张量被推进到了更抽象的层级——丛理论(fiber bundles) 和 李群表明。
李群视角:在物理中常见的“对称性群”都是李群(连续可微的群结构)。张量可以被视为李群在流形上的表明,是群作用下的场。这使得张量的“变换规律”不再是经验总结,而是李群表明论的直接产物。
举例:
- 电磁场是 U(1)群下的规范张量;
- 弱相互作用是 SU(2) 群;
- 强相互作用是 SU(3);
- 引力理论中,度量张量是不变于广义坐标变换下的对称二阶张量场。
丛理论视角:张量场不是“函数”,而是赋值在流形每一点上的线性结构,本质上是丛(bundle)上的截面。
- 切丛(tangent bundle):向量场
- 余切丛(cotangent bundle):协变张量
- 张量积丛:任意阶张量
- 主丛与伴随丛:规范场的抽象容器
这意味着,张量不只是“一个数学对象”,而是被整个空间的拓扑和几何结构所支配的局部实体。
更进一步,张量场之间的关系、平行传输、联络(connection)、曲率张量等,全部可以在丛上自然构造——这就是现代微分几何的基础结构。
也就是说:
张量不仅描述了空间中的对象,它们本身就是空间结构的表达。
在规范引力理论、弦论、非交换几何中,张量结构仍是核心。即使在极抽象的范畴论框架下,人们也往往要先“张量化”对象,才能定义范畴之间的态射。
但回到实际世界,它也没有脱离工程和应用。数值模拟和AI时代,张量又一次变身,成为运算主角。
数值计算与工程力学:张量在计算机中的离散化表达
进入20世纪中后期,随着计算机的普及,张量理论从抽象几何的高空,落到了数值模拟与工程计算的地面。
工程师、材料学家、气象模型师不关心协变导数和纤维丛,但他们天天面对应力张量、惯性张量、弹性模量张量、各向异性材料的响应张量。
这些张量不再是无限维流形上的场,而是离散网格上的有限维数组,本质上是矩阵或更高阶数组——这也是今天所谓“张量运算”的实际意义:
在编程世界里,“张量”一般就是带维度的多维数组,加上“如何变换”的规则。
这种“弱化版张量”,虽然远离黎曼几何,却保留了两个核心:
- 多维结构(指标)
- 准确的变换行为(尤其在有限元模拟中)
在流体力学、结构仿真、地震波模拟、航空材料分析中,张量场(尤其是二阶对称张量)作为模拟输入和输出,成为基础运算单位。
与此同时,线性代数的发展也开始以“张量积”为核心运算操作,把向量空间的组合结构看作最基本的构造手段——不仅方便编码,也适用于物理建模。
尤其是在有限元分析(FEM)与有限差分法(FDM)中,张量形式的物理律表达,是构造数值格式的语言基础。
工程上的“张量”不必追求全协变性,但一旦进入曲面力学或非线性弹性,就必须重新回到真正的张量变换律。
张量由此实现了从理论物理到工程数值的全链路穿透:既能表达弯曲时空中的引力,也能用于模拟风洞中的翼型结构。
而到了21世纪,它又一次在意想不到的地方重生——人工智能。
现代AI中的张量结构:从张量乘法到深度神经网络
进入21世纪,张量在一个出人意料的领域“再就业”:人工智能。
现代深度学习框架——如 TensorFlow、PyTorch、JAX,甚至名字里都直接带了 “Tensor”——并不是在卖弄高数,而是在告知你:
整个神经网络本质上就是张量变换的流水线。
在这个语境中,张量一般指的是:
- 多维数据结构:标量是一阶0维张量,向量是一维张量,矩阵是二维张量,图像是三维张量(宽×高×通道),视频是四维张量(帧×高×宽×通道);
- 张量运算规则:广播(broadcasting)、转置(transpose)、缩并(contraction)、外积(outer product)、卷积(convolution)……统统都是张量运算的“工程版本”。
更进一步,高阶张量分解(tensor decomposition) 成为模型压缩、表明学习、参数高效化的重大工具。
列如 Tucker 分解、CP分解、张量网络(Tensor Networks),这些概念最早来自量子多体物理,如今又在机器学习中发光发热。
AI研究者逐渐意识到:
不理解张量结构,你写不出有效的模型;不了解张量变换,你调不动高效的训练。
虽然在AI中,“张量”这个词常常被当作“带维度的数组”来用,少有人思考它是否满足坐标变换下的协变性——但它依旧继承了“结构有维、行为有律”的核心精神。
于是我们看到,从19世纪的黎曼几何,到20世纪的相对论,再到今天的图像识别与自然语言处理,张量完成了一次跨越三层学科的语言迁移:
从几何语言 → 到物理语言 → 再到机器语言。
但它依旧面对一个哲学老问题:张量究竟是现实的结构,还是人类书写现实的方式?
哲学视角:张量是现实,还是人造的坐标语法?
张量如此强劲,几乎无所不包——从引力场到神经网络,从黑洞结构到图像识别。但这也引出一个根本性的问题:
张量到底“存在”吗?它是自然的结构,还是我们对自然的编码?
这不是学院派争论,而是一个决定你怎么看待整个科学框架的问题。
一种观点是实在论(realism):张量就像质量、电荷、时间一样,是自然界客观存在的一部分。
例如在广义相对论中,度量张量 g_μν 决定了光线怎么走、物体如何自由下落,它不是“描述”,而是“决定”物理行为的实体。
这意味着:
张量是自然的组织方式,我们只是发现了它。
从这个角度看,张量的变换律不是人造规则,而是宇宙的深层对称性在数学中的显影。
另一种观点是工具论/结构主义(
instrumentalism/structuralism):张量是语言,是我们用来描述物理世界的“语法工具”。它之所以有效,是由于它满足了一种强约束:
- 形式上要在变换下保持一致;
- 内容上要能编码足够多的信息;
- 运算上要能复用已有工具(如线性代数)。
换句话说:
张量之所以存在,是由于我们要求自然规律具有“坐标独立性”这一形式美。
在这个观点下,张量不是“真”,而是“方便”。就像我们选择用实数描述连续性,不是由于自然真的“用”实数,而是由于实数让我们可以表达足够多的物理过程。
还有一种观点介于两者之间:张量是一种结构映射:它不是实体,但它的确 反映了自然中的结构关系。
- 就像拓扑结构不是“存在”的东西,但的确 反映了空间中“连接性”的真实特征;
- 张量也不是粒子、能量那样的实体,但它的确 描绘了“变量间相互依赖关系”的稳定性。
它们不是自然本身,但它们像地图一样,成功地与自然之间形成了一种稳定对应关系。
张量已经成为21世纪理解世界不可绕开的核心语言。

张量和微积分一样,只是一个数学工具。张量是矢量概念的推广,它是专门用来处理坐标不变量的。张量分析包含两部分内容:第一部分就是张量的代数运算,即张量的加(包含减)、乘法(多种乘法)、商法则(类似除法,但不是两个张量相除)、缩并等等;第二部分就是张量的微分积分运算,即张量的分析运算。坐标系的引入为处理几何、物理量带来巨大的便利,但也让人们对几何、物理量的本质认识带来了坐标系的烙印,张量分析的引入就是为了去除这些坐标系的烙印,更清楚地认识几何、物理量的本质。张量分析方法就是即有坐标系的概念又摆脱具体坐标系影响的不变性方法。
最好用的是矩阵这个东西,把旋转办成了乘法,但是还是太局促不了,一次只能旋转π/2,要是把它拓展到阵列,那就不必拘泥乘法只表示正交了。
真的非常佩服两三个世纪前的数学、物理学大神们
张量是一种以协变形式来聚合多个简单度量的复杂度量,张量按已知理论需求,目前可基于张量的多种表达式及其运算,并与其他复杂度量可相互解释。可见,张量不是被度量对象本身,是发明,不是发现。
张量理论有局限性。它适合用于高速运动的系统,在计算系统内相对缓慢的变化时,它能用最小的计算量来得到想要的结果。比如在高速行驶的汽车上,坐在座位上的人,动作很小,很容易做动画模拟人的动作。但是,实际上的汽车越野赛,车里的一切都是不稳定的,颠簸得受不了,这与在平坦道路上行驶的汽车完全不同。而且,遇到高速撞车的情况,车内变化就更不同了。所以,张量计算适用范围有限,实际上与现实情况有巨大的差异,在极端情况下,张量计算可能完全错误。
物理实在是客观的,它不应该随我们的描述而变化。而所有的各种描述中,张量是最能反应物理实在的描述。
张亮是凌烟阁二十四功臣之一,后因谋反被李世民杀掉
流形数学是在闭门造车形式下无视物理学等客观世界自我封闭式的“我思故我在”唯心主义的产物。局部极限三维用映射对偶拓扑方式采用欧几里得几何概念创造度量衡从而建立微积分张量有来有去协变逆变;但是,数学游戏脱离客观世界,成了人类有史以来最大而无当大而无用的“榕树”!
深入浅出,分析透彻。希望能看到更多的佳作!
这篇文章不是博土毕业难看懂,胡老师更应该写书科普让本科生能看的懂——这篇文章也不是娱乐新闻看过就扔的!
写的晦涩难懂,不简明扼要,没有举例说明,最好通过一指标剖析张量的含义,切忌从概念到概念的推导
机器学习的张量,其实是高维数组,与物理学的张量联系不大。
我一个高中毕业生硬是把这扁文章看完了!
请问:里奇流是个什么数学方法??俄国数学家佩雷尔曼通过改进的'里奇流'方法才完成了对龙茄莱问题的最终证明。
这太高深,得有道之士才能搞明白。
这篇文章真好理解了科学语言最基本的一个概念
很专业的一篇文章,如果对这方面不感兴趣,根本看不下去。
这个科普文章写得好!点赞!
学习了!
学习了,高山仰止景行行止!