高中数学函数小专题(四)函数零点的代数式求值(范围)的求解及答案

知识
一、解决函数零点的三种方法
①解方程求出函数的零点;
②画图象看零点的个数;
③对连续函数的变号零点可以利用零点存在性定理确定其范围。
二、求零点代数式的值的解题策略
①设出零点代入函数得等零方程
②利用函数知识找零点之间的关系。
如互为反函数图象对称性,单调性同构函数唯一性,三角函数对称性
③利用零点关糸变形求值
三、求函数零点(或方程根、或函数等值)代数式的范围的解题策略
1.作出函数的图象,将问题转化为图象与图象的交点问题。
2.根据图象确定
①零点之间大小关糸
②各个零点范围
③零点之间和积关糸
④零点与参数之间关糸
对称关系(二次函数对称、V形函数对称等)
积关糸(对数函数绝对值相等化简)
3.把零点代数式消元变形看成函数利用函数性质以及不等式性质求值域即为所求范围。
4.已知条件中含有参数,需思考参数范围,并应用参数范围解决所求问题。

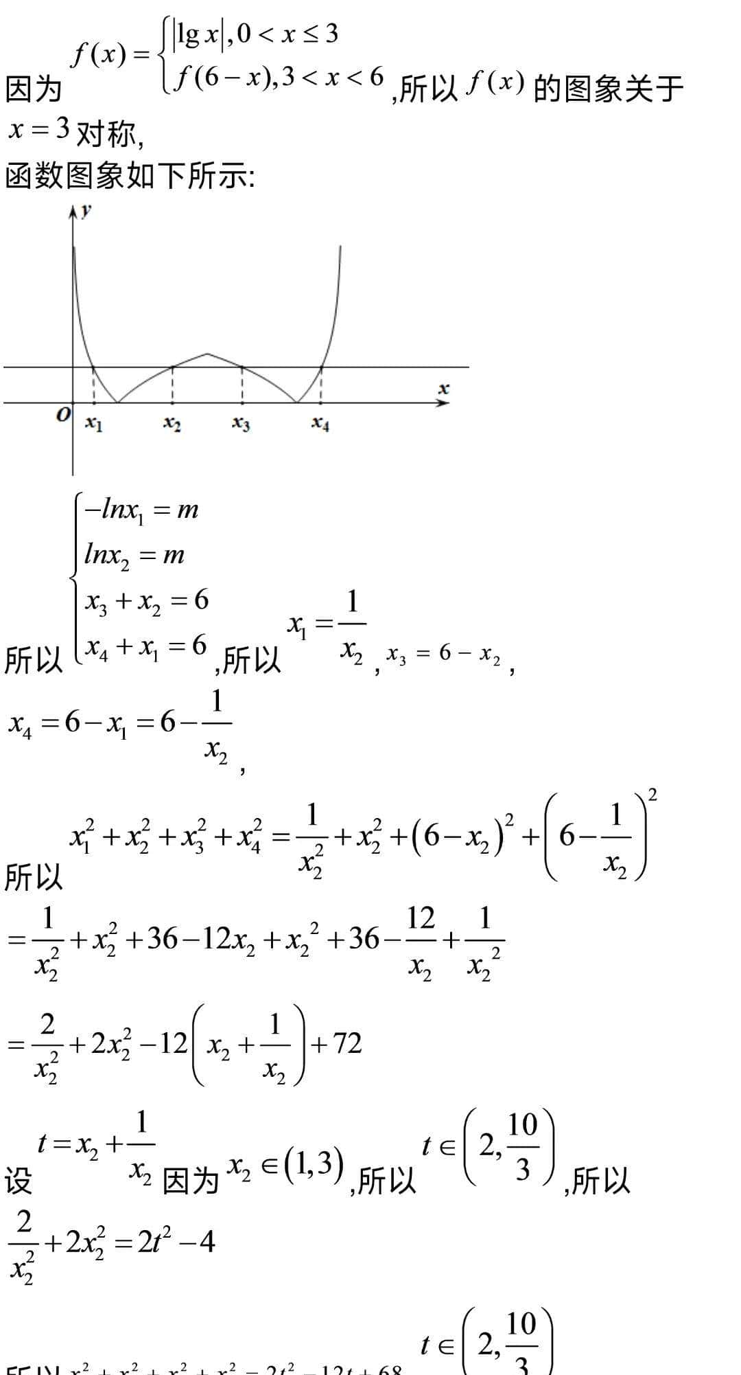
题目








答案
1

2

3

4

5

6

7

8

9

10

11

12

13

14

15

16

17

18

19

20

21

22

23

24

© 版权声明
文章版权归作者所有,未经允许请勿转载。





函数零点知识很重要
解题策略很清晰👍
方法总结得真好😄
零点范围咋确定呀?
消元变形有技巧吗?
收藏了,感谢分享