“函数零点问题”一直是函数问题中的常考点。重点考察学生对函数零点的理解及数形结合法的综合应用。本文我们一起学习函数零点的相关内容。
函数零点:函数对应方程的解。切不可认为它是一个点。

零点存在定理

几个“不必定与必定”

结论一:零点的存在性

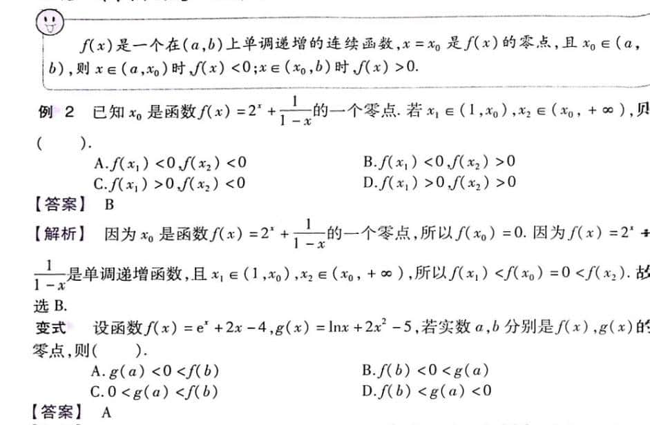
结论二:零点确定函数符号

结论三:数形结合定参数

结论四:零点范围的确定

零点存在定理的应用比较广泛,在我们学习导函数部分“隐零点”的判断也要借助于该定理。
以上就是本文分享的全部内容。需要的朋友可以收藏保存学习。
我是爱数学的鹞鹰,关注我每天分享高中数学知识
© 版权声明
文章版权归作者所有,未经允许请勿转载。



对学习函数帮助很大呢😄
收藏了,感谢分享
函数零点内容很重要呀👏