原文:https://www.cnblogs.com/muyisir/p/11440164.html
目录功能简书失效,但是点击可以复制链接直接到所需部分
正文:
目录
-
行内与独行
- 行内公式
- 独行公式
-
上标、下标与组合
- 上标
- 下标
- 上下标组合
-
汉字、字体与格式
- 汉字形式
- 字体控制
- 下划线符号
- 标签
- 上大括号
- 下大括号
- 上位符号
-
占位符
- 两个 quad 空格
- quad 空格
- 大空格
- 中空格
- 小空格
- 贴紧
- 无空格
-
界定符与组合
- 括号
- 中括号
- 大括号
- 自适应括号
- 组合公式
-
四则运算
- 加
- 减
- 加减运算
- 减加运算
-
乘
- 叉乘
- 点乘
- 星乘
-
除
- 除号
- 斜杠除
- 分式
- 绝对值
-
高级运算
- 平均数
-
开方
- 开平方
- 开多次方
- 对数
- 极限
- 求和
- 积分
- 微分
- 矩阵
-
逻辑运算
-
大于、小于和等于
- 大于
- 大于等于
- 小于
- 小于等于
- 等于
- 不等于
-
不大于等于、不小于等于
- 不大于等于
- 不小于等于
- 约等于
- 恒等于
-
大于、小于和等于
-
集合运算
-
属于、不属于
- 属于
- 不属于
-
子集运算
- 子集
- 非子集
- 真子集
- 非真子集
-
集合布尔运算
- 交集
- 并集
- 差集
- 同或运算
- 同与运算
- 常用数集
- 空集
-
属于、不属于
-
数学符号
- 无穷
- 虚数
- 向量符号
-
导数
- 一阶导数
- 二阶导数
-
箭头
- 上箭头
- 双线上箭头
- 下箭头
- 双线下箭头
- 左箭头
- 双线左箭头
- 右箭头
- 双线右箭头
-
省略号
- 低端对齐
- 中线对齐
- 垂直对齐
- 斜对齐
-
其他数学符号
- ā
- á
- ǎ
- à
- â

- ã
- å
- 希腊字母
行内与独行
行内公式
将公式插入到本行内
$公式内容$
inline
例:坐标轴

$xOy$
独行公式
公式单独占用一行
$$公式内容$$
displaystyle
例:等差数列求和公式:

$$S_n = frac{1}{2}n(a_1 + a_n) = na_1 + frac{n(n-1)}{2}d, nin N^*$$
上标、下标与组合
上标
$底数^指数$
$y = x^2$
例:

$y=x^2$
下标
$CuSO_4·5H_2O$
例:

$CuSO_4·5H_2O$
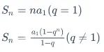
上下标组合
例:等比数列求和公式:

$$S_n = na_1 (q=1)$$
$$S_n = frac{a_1 (1 - q^n)}{1-q} (q
eq1)$$
汉字、字体与格式
汉字形式
mbox{}
例:

$V_{mbox{升}}$
字体控制
不加此内容,公式会缩至与文字同高。加此内容,公式会以原大小显示。
displaystyle

$displaystyle frac{x+y}{y+z}$
$frac{x+y}{y+z}$
下划线符号
underline

$underline{x+y}$
标签
ag{数字}

$ ag{69}$
上大括号
overbrace{算式}
例:

$overbrace{a+b+c}^{2.0}$
下大括号
underbrace{算式}
例:

$a+underbrace{b+c}_{1.0}+d$
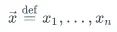
上位符号
stacrel{上位符号}{基位符号}
例:

$vec{x}stackrel{mathrm{def}}{=}{x_1,dots,x_n}$
占位符
两个 quad 空格
qquad

$xqquad y$
quad 空格
quad

$xquad y$
大空格

$x y$
中空格
:

$x : y$
小空格
,

$x , y$
贴紧
!
例:

$x ! y$
无空格
例:

$xy$
界定符与组合
括号
ig(算式ig)
例:

$() ig(ig)$
中括号
[]
left[
ight]

$[x + y]$
$left[ abc
ight]$
第二种中括号可以跨行,例如矩阵左右两边的中括号
大括号
{算式}
例:

${x + y}$
自适应括号
left(算式
ight)
例:

$left(xyz
ight)$
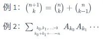
组合公式

${n+1 choose k}={n choose k}+{n choose k-1}$
$sum_{k_0,k_1,ldots>0 atop k_0+k_1+cdots=n}A_{k_0}A_{k_1}cdots$
四则运算
加
例:

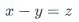
$x+y=z$
减
例:

$x-y=z$
加减运算
pm
例:

$x pm y = z$
减加运算
mp
例:

$x mp y = z$
乘
叉乘
imes
例:

$x imes y = z$
点乘
cdot
例:

$x cdot y = z$
星乘
ast
例:

$x ast y = z$
除
除号
div
例:

$x div y = z$
斜杠除
x/y
例:

$x / y = z$
分式
frac{分子}{分母}
{分子}over{分母}

$frac{x+y}{y+z}$
${x+y}over{y+z}$
绝对值
|算式|
例:

$y = |x|$
高级运算
平均数
overline{算式}
例:

$overline{xyz}$
开方
开平方
sqrt
例:

$sqrt x$
开多次方
sqrt[开方数]{被开方数}
例:

$sqrt[3]{x+y}$
对数
log
例:

$log_5{x}$
极限
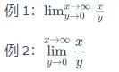
lim
displaystyle lim

$lim^{x o infty}_{y o 0}{frac{x}{y}}$
$displaystyle lim^{x o infty}_{y o 0}{frac{x}{y}}$
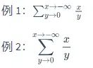
求和
sum
displaystyle sum

$sum^{x o -infty}_{y o 0}{frac{x}{y}}$
$displaystyle sum^{x o -infty}_{y o 0}{frac{x}{y}}$
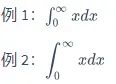
积分
int
displaystyle int

$int^{infty}_{0}{xdx}$
$displaystyle int^{infty}_{0}{xdx}$
微分
partial
displaystyle partial

$frac{partial x}{partial y}$
$displaystyle frac{partial x}{partial y}$
矩阵
egin{matrix} end{matrix}
例:

$$left[ egin{matrix} 1 & 2 & cdots & 5 & 6 & cdots & 9 & 10 \ vdots & vdots & cdots & vdots & vdots & cdots & cdots & ddots \ a & b & cdots & e & f & cdots & i & j end{matrix}
ight]$$
逻辑运算
大于、小于和等于
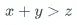
大于
例:

$x+y>z$
大于等于
geq
例:

$x+y geq z$
小于
例:

$x+y<z$
小于等于
leq
例:

$x+y leq z$
等于
例:

$x+y=z$
不等于
eq
例:

$x
eq y$
不大于等于、不小于等于
不大于等于
geq
otgeq

$x
geq y$
$x
otgeq y$
不小于等于
leq
otleq

$x
leq y$
$x
otleq y$
约等于
approx

$frac{1}{3} approx 0.3$
$displaystyle frac{1}{3} approx 0.3$
恒等于
equiv
例:

$x + y equiv z$
集合运算
属于、不属于
属于
in
例:

$x in A$
不属于
otin
otin
例:

$x
otin A, y
ot in B$
子集运算
子集
subset
supset

$A subset B$
$A supset B$
非子集
otsubset
otsupset

$A
otsubset B$
$A
otsupset B$
真子集
subseteq
supseteq

$A subseteq B$
$A supseteq B$
非真子集
subsetneq
supsetneq

$A subsetneq B$
$A supsetneq B$
集合布尔运算
交集
cap

$A cap B$
并集
cup

$A cup B$
差集
setminus

$A setminus B$
同或运算
igodot

$A igodot B$
同与运算
igotimes

$A igotimes B$
常用数集
mathbb{数集字母}

空集
empty
emptyset

数学符号
无穷
infty

虚数
imath
jmath

向量符号
vec{字母}

$vec{AC} = vec{AB} + vec{BC}$
导数
一阶导数
dot{a}

二阶导数
ddot{a}

以此类推:

箭头
上箭头

uparrow
双线上箭头

Uparrow
下箭头

downarrow
双线下箭头

Downarrow
左箭头

leftarrow
双线左箭头

Leftarrow
右箭头

ightarrow
双线右箭头

Rightarrow
省略号
低端对齐

ldots
中线对齐

cdots
垂直对齐

vdots
斜对齐

ddots
其他数学符号
ā
$ar{a}$
á
$acute{a}$
ǎ
$check{a}$
à
$grave{a}$
â
$hat{a}$
$reve{a}$
ã
$ ilde{a}$
å
$mathring{x}$
希腊字母
| 大写字母 | 效果 | 实现 | 小写字母 | 效果 | 实现 |
|---|---|---|---|---|---|
| A | ![]() |
Alpha |
α | ![]() |
alpha |
| B | ![]() |
Beta |
β | ![]() |
eta |
| Γ | ![]() |
Gamma |
γ | ![]() |
gamma |
| Δ | ![]() |
Delta |
δ | ![]() |
delta |
| Ε | ![]() |
Epsilon |
ε | ![]() |
epsilon |
| Ζ | ![]() |
eta |
ζ | ![]() |
zeta |
| Η | ![]() |
Eta |
η | ![]() |
eta |
| Θ | ![]() |
Theta |
θ | ![]() |
heta |
| Ι | ![]() |
Iota |
ι | ![]() |
iota |
| Κ | ![]() |
Kappa |
κ | ![]() |
kappa |
| Λ | ![]() |
Lambda |
λ | ![]() |
lambda |
| Μ | ![]() |
Mu |
μ | ![]() |
mu |
| Ν | ![]() |
Nu |
ν | ![]() |
|
| Ξ | ![]() |
Xi |
ξ | ![]() |
xi |
| Ο | ![]() |
Omicron |
ο | ![]() |
omicron |
| Π | ![]() |
Pi |
π | ![]() |
pi |
| Ρ | ![]() |
Rho |
ρ | ![]() |
|
| Σ | ![]() |
Sigma |
σ | ![]() |
sigma |
| Τ | ![]() |
Tau |
τ | ![]() |
au |
| Υ | ![]() |
Upsilon |
υ | ![]() |
upsilon |
| Φ | ![]() |
Phi |
φ | ![]() |
phi |
| Χ | ![]() |
Chi |
χ | ![]() |
chi |
| Ψ | ![]() |
Psi |
ψ | ![]() |
psi |
| Ω | ![]() |
Omega |
ω | ![]() |
omega |
- 此文参考自 @Daniel_Gavin 的文章《Markdown数学公式语法》( 简书 )
- 推荐网站:Online LaTeX Equation Editor
© 版权声明
文章版权归作者所有,未经允许请勿转载。
相关文章
暂无评论...






















































