早期的诺基亚有天线
目前的路由器有天线
可智能机却看不到天线
这是怎么回事呢?

Q1
既然已经有千米(公里)这样的国际单位,为何还要定义英里、海里这样的单位?并且长度还不一样?
答:
由于英里、海里等单位是在国际单位制之前便被定义使用的,这么多年下来自然会被约定俗成的继续使用。国际单位制虽然目前已经被广为接受,但是它是在18世纪末才成形的。在国际单位制成型前,人们也有着测量的需求,于是在不同领域就定义了不同的单位制。
英里是来源于两千年前的罗马帝国,据说为人走两千步对应的长度,一英里等于1.609千米。而海里则顾名思义,是为航海而发明的。海里的定义是地球子午线上一度对应长度的六十分之一,也就是1/21600倍的子午线长度,一般为1.852千米。由于地球曲率的存在,真实世界的一条直线投影到传统地图上会变形为曲线。因此船只在海上航行的时候,为了保证航向的正确,需要使用等角投影的经纬度地图,参照经纬度坐标来确定自己的位置。而海里便被定义为了六十分之一的一纬度所对应的距离,方便海上的人们更好的测算位置。
目前,英国已经完成了英制单位向公制单位的转换,还在使用英制单位的国家也只有美国和少数的前英国殖民地。而海里由于其在航海、测绘等方面具有的独特的便利性,在相关行业中还在被广泛使用。实则,在我们的日常生活中,也会有着一些约定俗成的非公制单位制被使用,例如衡量耕地面积时常用的亩(1亩=666.67平方米)就是自秦朝统一度量衡后慢慢演化来的单位。由于某些单位制在群体内部早已被广为接受,因此也就流传下来被一直使用啦。
by 单身男青年
Q.E.D.
Q2
为什么大熊猫的“黑眼圈”这么重?
by 12321
答:
我看到这个问题的时候丫丫正在努力吃饭等待回国哦

那么丫丫的眼圈为什么是黑的呢?
第一,在冰川时期森林是一个黑白的世界,熊猫的黑眼圈也可以用于保护它的眼睛。目前,熊猫长期生活在竹林丘陵等光线较弱的环境中,同时,熊猫是没有眼白的,眼睛旁边黑色的毛发可以防止强光对视力的伤害,有助于大熊猫发现天敌或食物。

其次,科研人员已经提出了数十种动物花斑外观的缘由,他们可能是警告,伪装,交流,或者调节体温。在2017年有一篇关于“大熊猫为什么是黑白的”研究中,研究者将熊猫与其他195种陆生食肉动物和39个熊亚种进行了比较,发现了浅色与积雪的联系。研究者认为,大熊猫黑白两种颜色,既可以将他们隐藏在森林中,又可以隐藏在白雪之中。在眼睛周围的黑斑可能是用于交流的,大熊猫之间可以识别这些斑块。大熊猫也可以在面对其他威胁时起到震慑作用,当它不想表现出威胁的时候,就会用爪子捂住眼睛。

是不是很可爱呢
参考文献:
[1] How pandas got their patches | Science | AAAS
by 岷客
Q.E.D.
Q3
人站在火车道旁边,火车匀速驶过时,人听见鸣笛声频率不变,为什么音调却越来越尖锐?
答:
鸣笛的频率是不变的,但人耳听到的频率的确 是高于鸣笛频率的,这就是开普勒,不是,普朗克,也不对,特朗普,还不对,多普勒效应嘛。
不开玩笑,这就是多普勒效应的典型例子。多普勒效应(或多普勒频移)指的是观察者与波源相对运动时,观察者观察到频率与波源频率不同的现象。当波源与观察者相向移动,也就是距离越来越近时,观察到的频率会变高,相反的,距离越来越远时,频率会变低。
观察到的频率与波源频率满足以下公式:

其中
是观察者观察到的频率,
是波源发出的波的实际频率,v是波在该介质中的传播速度,
是观察者相对介质的移动速度,正号代表靠近发射源,负号则反之;
代表波源相对介质的移动速度,正号代表远离观察者,负号反之。
日常生活中声波和电磁波都有多普勒效应,题目中的火车鸣笛正是声波的多普勒效应。我们可以这样来定性地理解多普勒效应。波具有波峰与波谷,单位时间内的周期也就是波峰或波谷的个数就是频率,当波源向我们靠近时,我们目前观察到的波峰的传导距离将大于后观察到的波峰,因此,后面的波峰传导到我们这里的时间总是比其之前的的波峰更短。也就是说,对于下一时刻,单位时间内观察到的波峰数量总是多于目前的时刻,因此观察到频率会高于波源的频率。
实则你再留心观察一下,当火车从你身边驶离的时候,你听到的鸣笛声会变得低沉,也就是频率低于鸣笛的频率了,当然,鸣笛本身的频率自始至终都是不变的。
by 霜白
Q.E.D.
Q4
手机是怎么发出电磁波的?
by 帝阍
答:
当然是通过天线发出电磁波啦。对一根金属天线通上交流电,天线里头的电子就会在两端来回振荡。这等效于将正负电荷来回搬运,形成不断振荡的电偶极子。

黄绿线代表电场,蓝线代表磁场 | 图源:电子工程师华哥@bilibili
天线发出的电磁波的波长与天线的尺寸有关,上图中这种中心馈电的直线状偶极子天线所发射的电磁波波长聚焦于天线长度的两倍,所以它也被称为半波天线。工程上用的较多的是单极子天线,它的尺寸只需要偶极子天线的一半,也就是波长的四分之一。
在古早的1G时代,通信频段在800MHz,波长为37.5cm,天线长度要达到9.375cm,这导致天线常常会超出机身,在外面露出一截。而到了5G时代,通信频道提高到3GHz,波长为10cm,天线可缩短到2.5cm,可以很方便地藏进机身。
除了通信频段提升带来的进步外,天线本身的制造工艺也在进步。早先的天线是冲印在机身电路中的,称为FPC天线;后来为了给电池腾出空间,人们将天线用激光雕刻附在手机的塑料后壳上,称为LDS天线。

左侧有冲印的FPC天线,右侧后盖上有LDS天线,分别实现NFC、无线充电、WiFi、通话等多种功能
更厉害的还能直接融合进金属外壳里。列如下图的设计,就是将天线融合进了手机的两段金属中框中,一段负责蓝牙、WiFi和GPS,另一段负责通话。

by 牧羊
Q.E.D.
Q5
酸和碱是对应的,但我们的语言中为何只有酸味而没有“碱味”?碱尝起来又是什么味道的?
答:
先强调下,大家不要去品尝化学试剂的味道噢。
小编仔细回想了下生活中对味道的描述,发现实际上是有“碱味”的。人们对于酸碱味道的感受差别,背后很大程度上反映了人们对食物营养的选择本能。列如许多人喜爱的水果、酸奶中含有大量对身体有益的有机酸,列如维生素C,作为人体必需的维生素,它实则也是一种有机酸。有理由认为人们更喜爱酸类物质,由于其中可以获取营养,这点对祖先的生存很重大,以至于我们目前看到或者想到酸的物质就会流口水;相对地,碱则很少存在于天然的食物中,而更多地存在于金属盐中,也即泥土矿石中。有机碱类很少见,也很少与营养物质挂钩,所以酸更为我们熟知。但是实际上,碱性物质在食物中也相当常见,列如小苏打,即碳酸氢钠,成为我们制作各种面食的必需品,列如馒头、面包、面条、苏打饼干,既可以用于中和发酵产生的有机酸,也可以让面变得更加蓬松。松花蛋更是需要用到强碱来制作。那么”碱味”到底指什么呢?

酸李子(是不是看到就想流口水hhh)| 图源网络
以发面馒头为例,小编仍记得母上大人有次做馒头失误,食用碱加多了,就得到了下图中的黄金馒头(过碱馒头),让俺含泪吃了两大碗。这时的馒头就呈现出一种淡淡的辛、涩、苦的味道,小编家乡那边就会称之为“碱味过重”。

过碱馒头 | 图源网络
小编也不小心吃到过没熟的松花蛋,那更叫一个苦涩难以下咽。所以碱味实则往往指这种涩苦味道。小编尝试寻找文献支撑,很抱歉没有找到,只能在搜索引擎找到一些“天然碱(碳酸钠)是苦的”之类的经验之谈。
本问题的提出基于酸碱对称的自然想法。但是可以看到,化学中的酸以氢离子为标志,明显对应于生活中的酸味,而一般情况下引起味觉感受器感受到酸味的物质正是氢离子;但是碱或者说氢氧根在味道上的对应的确 不如酸清晰,既有生物的因素,也有化学的因素,一般可以认为弱碱具有涩苦的味道,但要注意到引起涩苦味道的远不止氢氧根。至于强碱,由于强腐蚀性可以推测为辣味,由于这实际上会导致一种痛觉。综合来看,酸和碱这种直观的“对应”至少在食物方面不能上升到“对称”的高度噢~~~
(不要品尝化学试剂,哪怕是小苏打,也是区分工业级和食品级的)
by 小范
Q.E.D.
Q7
铜原子的核外电子排布是[Ar]3d104s1,为什么二价铜却更常见?
by 匿名
第一,对于孤立的铜原子,失去一个电子后形成的满壳层结构,的确 使得再次失去电子变得更加困难,这点可以通过比较第四周期相邻的三个元素:Ni,Cu,Zn 的电离能来说明:
元素第一电离能(eV)第二电离能(eV)Ni7.6418.18Cu7.7320.30Zn9.4017.97
从表格中可见,铜的第二电离能明显高于相邻的镍和锌,体现了3d满壳层的稳定性。
不过实际中,Cu(I)似乎并不稳定,在空气中灼烧单质铜,第一会在表面生成氧化亚铜,但随着时间推移,氧化亚铜会被进一步氧化成二价铜,并最终吸收二氧化碳和水成为碱式碳酸铜(铜绿),这该如何解释呢?
实际上,Cu(II) 相对于 Cu(I) 看似反常的稳定性,需要归功于无处不在的水分子。裸露的带电离子是十分不稳定的,会与周围的极性分子发生结合,而在空气或水溶液中,结合的一般就是水分子,结合放出的能量则被称为水合能。金属离子的水合能一般是十分巨大的,可以与离子键的键能相提并论。并且,由于水合能本质上可以看做是正负电荷相互吸引的库伦能,金属离子所带的电荷越高,半径越小,水合能越大。以铜离子为例,Cu(I)的水合能为 6.16 eV,而Cu(II)的水合能为 21.8 eV,两者的差别几乎抵消了一价铜离子失去一个电子所需的能量(也即第二电离能),使得Cu(I)在潮湿的环境中格外容易氧化。
实际上,水合能对高价金属离子起到的稳定性,并不限于二价铜离子。金属铁在空气中灼烧生成四氧化三铁,而锈蚀生成水合氧化铁(III),说明了水合作用对三价铁离子也有稳定功效。
by 乐在心中
Q8
科学家由“无意义”的负数开根号拓展了虚数(并发现其几何意义),那负数及复数的对数可以有相应拓展吗?它是否有几何或物理意义??
by imaginary number
Q6
蘑菇云是怎样形成的?
by 匿名
答:
蘑菇云一般产生于发生在近地面的巨大爆炸之后,爆炸的当量越高,越容易产生蘑菇云。
在爆炸的瞬间,起爆中心立即产生高温高压,周围空气在极短的时间内被剧烈挤压,形成了从爆心向四周高速运动的球面正激波,爆炸燃烧产生的固体颗粒以烟的形式随着激波传播的方向,在空间中快速扩散。这就形成了蘑菇伞的部分。

在这股高压向周围扩散的同时,起爆中心会形成一个低压区,周围的空气会向低压区补充,由于爆炸产生的高温,低压区的热空气会不断上升,地面的尘埃随着这股上升的热气飞腾到空中,形成了蘑菇茎的部分。
我们在一些蘑菇云的效果图中会看到蘑菇伞部分的烟在不断翻滚,是由于上升的高温烟团与周围温度相对较低的冷空气相互作用的结果,气流相互作用会形成“涡环”,使得烟团有了翻滚的效果。

蘑菇云虽然看着很壮观,但我们还是由衷地希望不要在现实生活中看到蘑菇云。
by Eric
Q.E.D.
Q7
铜原子的核外电子排布是[Ar]3d104s1,为什么二价铜却更常见?
by 匿名
答:
第一,对于孤立的铜原子,失去一个电子后形成的满壳层结构,的确 使得再次失去电子变得更加困难,这点可以通过比较第四周期相邻的三个元素:Ni,Cu,Zn 的电离能来说明:
|
元素 |
第一电离能(eV) |
第二电离能(eV) |
|
Ni |
7.64 |
18.18 |
|
Cu |
7.73 |
20.30 |
|
Zn |
9.40 |
17.97 |
从表格中可见,铜的第二电离能明显高于相邻的镍和锌,体现了3d满壳层的稳定性。
不过实际中,Cu(I)似乎并不稳定,在空气中灼烧单质铜,可能会在表面生成部分氧化亚铜,但随着时间推移,氧化亚铜会被进一步氧化成二价铜,并最终吸收二氧化碳和水成为碱式碳酸铜(铜绿),这该如何解释呢?
实际上,Cu(II) 相对于 Cu(I) 看似反常的稳定性,需要归功于无处不在的水分子。裸露的带电离子是十分不稳定的,会与周围的极性分子发生结合,而在空气或水溶液中,结合的一般就是水分子,结合放出的能量则被称为水合能。金属离子的水合能一般是十分巨大的,可以与离子键的键能相提并论。并且,由于水合能本质上可以看做是正负电荷相互吸引的库伦能,金属离子所带的电荷越高,半径越小,水合能越大。以铜离子为例,Cu(I)的水合能为 6.16 eV,而Cu(II)的水合能为 21.8 eV,两者的差别几乎抵消了一价铜离子失去一个电子所需的能量(也即第二电离能),使得Cu(I)在潮湿的环境中格外容易氧化。
实际上,水合能对高价金属离子起到的稳定性,并不限于二价铜离子。金属铁在空气中灼烧生成四氧化三铁,而锈蚀生成水合氧化铁(III),说明了水合作用对三价铁离子也有稳定功效。
by 乐在心中
Q.E.D.
Q8
科学家由“无意义”的负数开根号拓展了虚数(并发现其几何意义),那负数及复数的对数可以有相应拓展吗?它是否有几何或物理意义?
答:
对于实变函数来说,指数函数
有意义,我们将这个函数推广到复变函数
,列如
是什么意思?
第一该如何定义这类函数,最简单的方法就是用大佬泰勒的方法,我们知道泰勒展开的公式为

自然的,我们可以定义复变的指数函数

有了指数自然也有对数,设z的模长为r,幅角为θ,则,将其推广到对数函数就有

由于幅角
可以随意地加上2π的整数倍,所以上式不是普通意义上的函数,在复变函数中把这样的映射称为多值函数。
根据以上定义,我们就能得到大名鼎鼎的欧拉公式啦

写了这么多,那具体在数学物理中有什么应用呢?
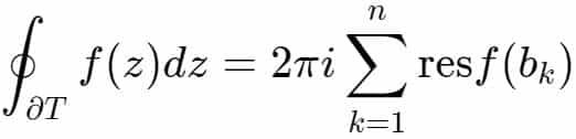
最直接的就是一个称为留数定理的东西,先放一个留数定理的定义:
设f在区域T内除有界孤立奇点b1,b2,…,bn外解析,在T的边界上连续,则f沿T的边界的积分等于2πi乘f在所有孤立奇点的留数和

虽然看着略复杂,但实际上它的意义就是
的原函数
绕
一圈变化了2πi.
by 圆周π小姐
Q.E.D.
编辑:牧羊
手机天线
熊猫如果黑白颠倒的话,会很骚气 哈哈哈哈哈
【天线】长长短短……
有密集的小型无线发射塔,手机还需要外接天线吗?
好,头条鼓励大家写图文,因为图文是学术性质的,比微头条更有价值,也许阅读的人少,收益不高,却反映了社会思想,我想大家注重的并不是收益。
内置了。
收藏了,感谢分享