注:本文转载自李继存老师个人博客
http://jerkwin.github.io/2016/08/09/太阳能电池效率的计算/,小编基于自己的理解,部分内容有删减和增加。
在文献《Design Rules for Donors in Bulk-Heterojunction Solar Cells—Towards 10% Energy-Conversion Efficiency》(Adv. Mater. 2006, 18, 789–794)和《Semiconducting Monolayer Materials as a Tunable Platform for Excitonic Solar Cells》(ACS nano, 2012, 6(11): 10082-10089)中讨论了一种计算激子太阳能电池效率的方法,并给出了效率与材料参数的关系图(如下图), 对研究太阳能电池的人有必定参考价值。我这里给出文章中计算太阳能电池效率的matlab代码,供需要的人参考。由于我的专业并非此领域,所以无法对公式含义及其中的各个物理量进行说明,只关注公式的数学部分。

Appl. Phys. Lett. 112, 143902 (2018).
1、理论简介:
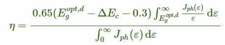
第一指出,论文中的太阳能电池效率计算公式(方程1)有误,正确的公式如下:

与原公式的区别在于分母中积分的起点为能量的起始值。
由于 ℏω=ε 即为光子的能量,所以上式可写为:

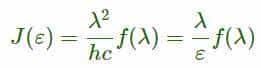
此式的分母部分是一个常数,无须思考, 故此,计算的关键是分子中的积分。此积分的计算涉及标准太阳能光谱 Jph(ω)。根据国际标准, 此光谱一般采用美国材料和试验协会(ASTM)的标准太阳能光谱(ASTM)G173-03,但此光谱给出的数据是按波长分布的,所以我们第一需要将其转换为按能量分布的光谱。
设有光谱的波长分布为 f(λ),其对应的能量分布为 J(ε), 二者满足 f(λ)dλ=J(ε)dε,故:



知道了此式之后,使用最简单的梯形法对能量分布进行积分即可。需要注意的是,积分时可能需要第一对数据进行线性插值,由于积分的起点可能并不正好处于分布的点上。
clc; clear; clear all;% 单位换算nm2eV=1.2398419739e-6*1e9;%% 处理数据% 读取文件, 忽略表头, 使用Global tilt数据dat = csvread('ASTMG173.csv',2);l=dat(:,1); f=dat(:,3);% 由波长分布换算为能量分布, 递增顺序E=nm2eV./flipud(l);J=flipud(f.*l)./E;% plot(E,J,'-')% 计算能量最小点与最大点, 能量间隔最小值% 梯形法积分得总功率, 其值应接近1000Emin=min(E); Emax=max(E);dEmin=min(gradient(E));Jtot=trapz(E, J)%% 计算单个效率值Eopt=2; Ec=0.2;Eintp=[Eopt:dEmin:Emax];Jintp=interp1(E,J, Eintp, 'linear');Jsc=trapz(Eintp, Jintp./Eintp)/Jtot;eta=0.65*(Eopt-Ec-0.3)*Jsc*100%% 作效率与Eopt, Ec的二维图Eopt=[1:.01:3.5]; Ec=[0:.01:1.2];Jsc=zeros(1,length(Eopt));for i=1:length(Eopt)-1Eintp=[Eopt(i):dEmin:Emax];Jintp=interp1(E,J, Eintp, 'linear');Jsc(i)=trapz(Eintp, Jintp./Eintp)/Jtot;end[x, y]=meshgrid(Eopt, Ec);[z, y]=meshgrid(Jsc, Ec);eta=0.65*(x-y-0.3).*z*100;contourf(x,y,eta, [2:2:20], 'ShowText','on')xlabel('CBN pptical gap (eV)')ylabel('Conduction band offset (eV)')

2、一些说明:
-
张璐 等:国产遥感传感器大气层外波段平均太阳光谱辐照度计算
大气层外太阳光谱不受大气的影响,是计算传感器大气层外波段平均太阳辐照度的基础。但由于测量仪器及方法的差别,现有多套太阳光谱曲线数据之间存在必定的差异。本文选用了9条常用的太阳光谱曲线(6S、ASTM-E490、ASTM-G173、Chance、Kurucz、Neckel & Lab、Thuillier、Wehrli 和 WRC 太阳光谱曲线)进行对比分析,以确定最合适计算ESUN b 的太阳光谱。6S 太阳光谱为 6S 大气辐射传输模型中内置的太阳光谱曲线,光谱范围为 0.25~4.0 μm;ASTM-E490 太阳光谱由美国材料和试验协会(ASTM) 根据卫星、航天飞机、火箭探测、地基太阳望远镜等观测资料发布,光谱范围为 0.12~1000 μm;ASTM-G173太阳光谱由ASTM通过SMARTS模式导出,光谱范围为0.28~4.0 μm;Chance太阳光谱来源于地面和气球观测资料,光谱范围为 0.2~200 μm;Kurucz太阳光谱来源于理论模型和经验模型计算,光谱范围为 0.2~200 μm;Neckel & Lab 太阳光谱由 Neckel 和 Labs 基于对日盘中心绝对强度的观测资料发布,光谱范围为 0.4~2.0 μm;Thuillier 太阳光谱由 Thuillier 等人根据多次航空飞行观测资料发布,光谱范围为 0.2~2.4 μm;Wehrli 太阳光谱由 Wehrli 根据多条太阳光谱整合而成,光谱范围为0.20~3.0 μm;WRC 太阳光谱由 World Radiation Center 机构根据地面和火箭观测数据发布,光谱范围为0.35~2.5 μm。
-
为什么在测太阳能电池的效率时都是采用AM1.5 100mW/cm2 啊?
在地球大气层的上界,距离太阳一个天文单位处,与太阳垂直的单位面积上,单位时间所得的的太阳辐射能量叫一个太阳常数S0。此时把太阳看出点光源,不思考大气层吸收。但是在实际地球表面附近的太阳辐射强度受大气吸收的影响。大气吸收同时也影响太阳光谱分布。同时辐射强度还受太阳运转的高度影响。为了描述这一关系,引入大气质量(air mass, AM)。太阳穿过大气层垂直射入海平面时的高度作为一个大气质量AM1,辐照度大约1000W/M2,太阳在其他任意位置时穿过大气层的距离与AM1有sina的关系。a为太阳的高度角。外层空间的大气质量为AM0。太阳高度降低时,通过大气层的距离增加。大气质量大于1。最接近现实生活情况下的大气质量为AM1.5。此时太阳高度角为41.8度,辐照度为963W/M2。所以国际标准组织定义AM1.5为地面光伏组件的标准条件,辐照度定为1000W/M2.
-
AM1.5G怎么来的?
ASTM G173–03的AM1.5G光谱采用变步长梯形求积积分,结果为1000.37 W/m2。
关于AM1.5 G更多详情可以阅读以下内容:
http://www.materialsnet.com.tw/DocView.aspx?id=7004
http://blog.sciencenet.cn/blog-616448-889852.html
AM1.5 G数据下载链接:
https://rredc.nrel.gov/solar//spectra/am1.5/
推荐另一个计算激子太阳能电池效率的code:
https://gitee.com/yhli/misc/tree/master/pce


