第1题:【 单选题】
明明买了一个扫地机器人,可以通过以下指令控制机器人运动:
F:向前走 10 个单位长度
L:原地左转 90 度
R:原地右转 90 度
机器人初始方向向右,需要按顺序执行以下那条指令,才能打扫完下图中的道路

A:F-L-F-R-F-F-R-F-L-F
B:F-R-F-L-F-F-L-F-R-F
C:F-L-F-R-F-R-F-L-F
D:F-R-F-L-F-L-F-R-F
【正确答案】: A
【试题解析】 :
主要考查小朋友们的观察能力和推理能力,从给定的图中可以看到:
机器人需要执行指令为:前进-左转-前进-右转-前进-前进-右转-前进-左转-前进,符合要求的为答案A
第2题:【 单选题】
下面 4 张卡片白色部分是透明的·将它们重叠在一起,可以组成一个数·这个数是( )

A:4657
B:8423
C:2196
D:5692
【正确答案】: B
【试题解析】 :
主要考查小朋友们的观察能力、空间想象能力和推理能力,
做这个题目的时候小朋友们可以将每一条线看成一根小火柴,一个数字由7根小火柴组成,第一个数字就有7根,对应的数字是8,直接通过排除法得到答案B
第3题:【 单选题】
宝箱的密码是一个三位数·希希猜了 5次,分别猜的是:925、364、123、756、874根据系统提示,这5次每都恰好只猜对了一位(猜对是指数字和所在位置都对)这个宝箱的密码是( )
A:163
B:765
C:724
D:324
【正确答案】: C
【试题解析】 :
主要考查小朋友们的观察能力和推理能力
要注意的是猜对的数字和所在位置都对,小朋友可以将四个选项带入验证,C选项724,刚好符合5次数字中每次只说对一位,答案C
第4题:【 单选题】
如果以下描述都是真的,
1.所有在天文馆的人都穿白衣服,所有在动物园的人都穿黑衣服
2.没有既穿白衣服又穿黑衣服的人
3.皮皮穿黑衣服
哪个选项一定是真的 ( )
A:皮皮在天文馆
B:皮皮不在天文馆
C:皮皮在动物园
D:皮皮不在动物园
【正确答案】: B
【试题解析】 :
主要考查小朋友们的逻辑思维能力和推理能力
题目中告知皮皮传的是黑衣服,但是并没有说皮皮在动物园;同时告知在天文馆的人都穿白衣服,所以可以得出皮皮一定不再天文馆,答案B
第5题:【 单选题】
百度是全球知名的高科技公司,最初的业务是中文搜索引擎服务。“百度”二字,是从一句诗词中提炼出来的,你知道是哪句吗( )
A:百川东到海,何时复西归
B:但使龙城飞将在,不教胡马度阴山
C:江山如此多娇,引无数英雄竞折腰
D:众里寻他千百度,基然回首,那人却在,灯火阑珊处
【正确答案】: D
【试题解析】 :
主要考查小朋友们的观察能力和语文功底
百度,根据四个选项的字面意思也只有选项D符合要求
第6题:【 单选题】
几张纸堆放在一起,如下图所示:将所有白色纸抽走,剩余的纸从上到下的顺序是( )

A:
B:
C:
D:
【正确答案】: B
【试题解析】 :
主要考查小朋友们的观察能力和推理能力 从给定的图中可以看到:黄色应该是在第三张,红色应该是在最后一张,所以抽掉白纸得到的顺序应该是答案B
第7题:【 单选题】
希希有3种漂亮的植物和2种花盆,想把这些植物种在5个摆成一排的花盆里·她希望
1.种3 种植物,或者只种1种植物
2.相邻两个花盆颜色不同
以下哪种方案符合要求( )
A:
B:
C:
D:
【正确答案】: B
【试题解析】 :
主要考查小朋友们的观察能力和推理能力 从给定的图中可以看到:
A和D选项存在相邻两个花盆颜色相同,C选项种了2种花,所以都排除,
只有B选项符合要求,答案B
第8题:【 单选题】
卡通数独是一种益智游戏·有4 种水果卡片,每种 4张,摆到下图空白处,要使每一行、每一列、每一个粗红线方格内的水果均不重复

下图的数独游戏,希希已经帮你摆好一部分。问号处应摆的水果是( )

A:
B:
C:
D:
【正确答案】: D
【试题解析】 :
主要考查小朋友们的观察能力和推理能力
规则是按数独4宫格的规则,从给定的图中可以得出,右上角的第4格应该是西瓜,所以第1格就是菠萝;所以可以推出问号处的就应该是葡萄,答案D
第9题:【 单选题】
有一台玩具扭蛋机,可以将一个红球变成3个白球,也可以将一个白球变成两个红球;

思思有3个红球和1个白球,他使用扭蛋机3 次,最后拥有的球数最少是( )
A:6
B:7
C:8
D:9
【正确答案】: C
【试题解析】 :
主要考查小朋友们的观察能力和推理能力
从给定的图中可以看到,开始有3个红球,1个白球;要求最少所以尽可能变少
第一步将1个白球变成2个红球,也就是5个红球
第二步将1个红球变成3个白球,也就是4个红球,3个白球
第三笔将1个白球变成2个红球,最终就是4个红球,4个白球,共8个球,答案C
第10题:【 单选题】
国际象棋中,皇后(Queen)是很厉害的角色·它能吃同一行、同一列、同一斜线(45 度)的其他棋子在下图 4×4 的棋盘格子里放 4个后,使得任意两个皇后都不能互相吃,有多少种不同的方法?(注意:下图不是标准的国际象棋棋盘,你也不必关心这 4 个皇后分别属于哪一阵营。

A:1
B:2
C:3
D:4
【正确答案】: B
【试题解析】 :
主要考查小朋友们的观察能力和推理能力
这题相对而言比较难,根据数独中4宫格的规则,能放置的有:
第一种:第一行第二列、第二行第四列、第三行第一列、第四行第三列
第二种:第一行第三列、第二行第一列、第三行第四列、第四行第二列
答案B
第11题:【 单选题】
将一个表面涂有颜色的正方体,分割成同样大小的 27 个小正方体,如下图所示

有 2个及2个以上表面涂有颜色的小正方体有( )个
A:8
B:12
C:20
D:21
【正确答案】: C
【试题解析】 :
主要考查小朋友们的观察能力和推理能力
从给定的图中可以看到,这就是一个魔方,根据题目要求,最终得到的小立方体
没有颜色的有1个
一面有颜色的有6个
两面有颜色的有12个
三面有颜色的有8个
所以2个及2个以上有颜色的正方体有:12+8=20,答案C
第12题:【 单选题】
一个手环用屏幕上的3个小灯表示不同的数,请观察下图的规律

这3个小灯能表示的最大数是( )
A:6
B:7
C:10
D:12
【正确答案】: B
【试题解析】 :
主要考查小朋友们的观察能力和推理能力
从给定的图中可以看到有颜色的表示1,没颜色的表示0,刚好符合二进制规律
001=1、010=2、011=3、100=4、101=5、110=6、111=7,所以答案B
第13题:【 单选题】
下面图形不能一笔画出的是( )
A:
B:
C:
D:
【正确答案】: C
【试题解析】 :
主要考查小朋友们的观察能力和推理能力
从给定的四个选项中,ABD选项都可以找到一个点,然后通过一笔画的形式绘制出相应的图形,C选项不存这样的点可以一笔画绘制出来,所以答案C
第14题:【 单选题】
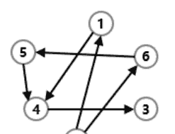
下图中每个圆圈代表一个小朋友·从一个小朋友指向另一个小朋友的箭头,表示前者的年龄大于后者·例如1号小朋友的年龄大于4 号小朋友,将这几个小朋友按年龄从大到小排序,以下选项可能正确的是( )

A:1-2-6-5-4-3
B:2-1-6-4-5-3
C:2-6-1-4-5-3
D:2-6-1-5-4-3
【正确答案】: D
【试题解析】 :
主要考查小朋友们的观察能力和推理能力
从题目和给定的图中可以得到年龄从大到小能确定的有:
2-6-5-4-3和2-1-4-3
所以根据给定的四个选项组合来看,1和6是不知道具体的年龄大小,但是可以通过排除法得到A选项1在2前错误,BC选项4在5前错误,所以答案D
第15题:【 单选题】
家具店有一种长方形桌子,宽是 1,长可以定制,为任意正整数。每张桌子会根据需要搭配一些椅子。长为1、2、3的桌子,搭配的椅子数量如下图所示:

按照这个规律,当桌子长为10 时,要搭配( )把椅子
A:20
B:22
C:24
D:26
【正确答案】: B
【试题解析】 :
主要考查小朋友们的观察能力、数学思维和推理能力
从给定的图中可以看到:
1张桌子配备4张凳子
2张桌子配备4+2张凳子
3张桌子配备4+4张凳子
可以得到桌子和凳子的数量关系为:凳子数=4+2*(桌子数-1)
所以桌子为10的时候,凳子数量=4+2*(10-1)=4+2*9=22,答案B
第16题:【 单选题】
两列一模一样的火车在两条平行的铁路上相向行驶,它们分别有 20节车厢,从车头开始按顺序编号,如下图所示 :

维维坐在第1列火车的 10 号车厢,奇奇坐在第 2列火车的 10 号车·当维维和奇奇正好相遇时,第1列火车的 14 号车厢,与第 2列火车的( )号车相遇。
A:6
B:7
C:14
D:15
【正确答案】: A
【试题解析】 :
主要考查小朋友们的观察能力和推理能力
从题目和图片中可以看出,当维维和奇奇火车正好相遇时,两辆火车的车厢上下对应的车厢号码相加等于20,所以第1列火车的14号车厢应该和第2列火车的6号车厢相遇,所以答案A
第17题:【 单选题】
体育老师对学生喜欢的运动项目进行了一次问卷调查·有7个同学填写了自己喜欢的运动项目,希望学校开设这些课程。经统计,每人喜欢的运动项目如下表所示:

根据同学们的意愿,请你帮老师做个计划。至少开设几个运动项目课程,才能保证每个同学都有自己喜欢的运动?
A:2
B:3
C:4
D:5
【正确答案】: B
【试题解析】 :
主要考查小朋友们的观察能力和推理能力
从题目要求和给定的图中可以看到,必须要开设轮滑、棒球或跆拳道、游泳或网球,只要3个课程就可以覆盖所有同学,所以答案B
第18题:【 单选题】
70个小朋友参加夏令营活动,老师们组织小朋友做游戏,让他们站成一排,从1 开始顺序报数,报奇数的小朋友出局,剩下的小朋友位置不变,再次从1开始报数,报奇数的出局···按照这个规则继续下去,直到剩一个小朋友为止·最后剩下的小朋友是优胜者,可以获得一份精美的奖品。得到奖品的小朋友,第一次报数时报的是( )
A:32
B:36
C:48
D:64
【正确答案】: D
【试题解析】 :
主要考查小朋友们的数学思维能力和逻辑推理能力
第19题:【 单选题】
下图的几张牌,每次可以交换任意 2 张。

如将它们按照下面的顺序排列,最少需要交换( )次

A:4
B:5
C:6
D:7
【正确答案】: B
【试题解析】 :
主要考查小朋友们的观察能力和推理能力
从题目要求和给定的图中可以得到:
1、交换1和2,得到1 3 4 2 7 5 6
2、交换2和3,得到1 2 4 3 7 5 6
3、交换3和4,得到1 2 3 4 7 5 6
4、交换5和6,得到1 2 3 4 7 6 5
5、交换5和7,得到1 2 3 4 5 6 7
所以答案B
第20题:【 单选题】
在下图所示的场地里,灰色的格子是墙,白色的格子是路。两个机器人以相同的方式同时移动:如果前方没有墙,两个机器人每秒会按照自己原来的方向前进一格,否则会用这一秒原地顺时针转 90度。开始时,第一个机器人在标有“1”的格子里,第二个机器人在标有“2”的格子里,它们的行动方向都是向上。两个机器人第一次在同一格中相遇,是在多少秒后?

A:3
B:6
C:7
D:永远不会相遇
【正确答案】: C
【试题解析】 :
主要考查小朋友们的观察能力和推理能力
从题目要求和给定的图中可以得到:
1号机器人,向上走3秒,旋转2秒,向下走2秒到达三岔口
2号机器人,旋转3秒,向左走3秒,到达三岔口,在原地旋转1秒
所以1号机器人和2号机器人会在7秒后相遇,答案C



