我国宋代的数学家秦九韶也提出了“三斜求积术”.它与海伦公式基本一样,实则在《九章算术》中,已经有求三角形公式“底乘高的一半”,在实际丈量土地面积时,由于土地的面积并不是的三角形,要找出它来并非易事.所以他们想到了三角形的三条边.如果这样做求三角形的面积也就方便多了.但是怎样根据三边的长度来求三角形的面积?直到南宋,我国著名的数学家秦九韶提出了“三斜求积术”.
秦九韶他把三角形的三条边分别称为小斜、中斜和大斜.“术”即方法.三斜求积术就是用小斜平方加上大斜平方,送到中斜平方,取相减后余数的一半,自乘而得一个数,小斜平方乘以大斜平方,送到上面得到的那个.相减后余数被4除,所得的数作为“实”,作1作为“隅”,开平方后即得面积.
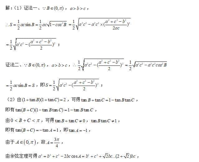
2019-2020河南实验中学高二上学期期中数学试题


© 版权声明
文章版权归作者所有,未经允许请勿转载。






好的😄