摘要
作为电机控制领域的工程师,我在多个工业项目中应用了无刷直流电机(BLDC)的磁场定向控制(FOC)。FOC技术通过解耦转矩和磁场分量,实现了BLDC电机的高效、平滑控制,但其实现涉及复杂的数学建模和工程调试。本文将深入解析FOC的原理、关键变换、控制系统设计,并结合实际工程经验,分享参数调谐、传感器选择和常见问题解决方案。文章旨在为工程师提供实用的参考,避免理论空谈,聚焦于实践中的难点与技巧。全文基于LaTeX格式呈现数学公式,确保严谨性。
引言
无刷直流电机(BLDC)因其高功率密度、长寿命和低维护成本,在工业驱动、电动汽车和家电领域广泛应用。然而,传统方波控制导致转矩脉动和噪声,限制了高性能场景。磁场定向控制(FOC)通过模拟直流电机的控制方式,将三相电流分解为独立的磁场(d轴)和转矩(q轴)分量,实现平滑的转矩输出和高效运行。尽管FOC在理论上成熟,但工程实践中常面临参数敏感、实时性要求和硬件限制等挑战。本文将从基础原理出发,结合我在电机驱动项目中的经验,系统性地探讨FOC的实现细节,帮助读者规避常见陷阱。
一、FOC控制原理
FOC的核心思想是将三相交流系统转换为旋转坐标系,从而独立控制转矩和磁场。其控制结构包括坐标变换、PI调节器和空间矢量调制(SVPWM)。对于BLDC电机,FOC假设反电动势为正弦波,这与永磁同步电机(PMSM)类似,但需注意BLDC的非理想特性(如反电动势畸变)。
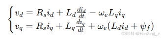
在FOC中,目标是通过控制定子电流矢量,使其与转子磁场正交,以最大化转矩。数学模型基于电机电压方程:

其中,d和vq为d-q轴电压,id和iq为d-q轴电流,Rs为定子电阻,Ld和Lq为d-q轴电感,ωe为电角速度,ψf为永磁体磁链。在BLDC中,通常设id=0(对于表贴式电机),以最小化铜损并实现最大转矩电流比。
FOC的闭环结构包括电流环、速度环和位置环。电流环作为内环,需高带宽以跟踪参考值;速度环和位置环则用于外部控制。工程中,电流环采样频率通常为10-50 kHz,以适应PWM周期。
二、数学基础与坐标变换
FOC依赖于Clarke变换和Park变换,将三相电流从静止坐标系转换到旋转坐标系。这些变换的准确性直接影响控制性能。
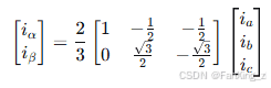
1. Clarke变换
Clarke变换将三相电流ia、ib、ic转换为两相静止坐标系(α-β)。假设三相平衡(ia+ib+ic=0),变换公式为:

该变换保留了幅值不变,但实践中需处理非理想情况,如电流采样偏移。我在项目中常使用校准技术,例如在零电流时测量偏移量并补偿。
2. Park变换
Park变换将α-β坐标系旋转到与转子同步的d-q坐标系,变换角θ为转子位置。公式为:

逆Park变换用于将d-q电压转换回α-β坐标系:

θ的准确性至关重要。若使用编码器,需注意安装误差;若使用传感器less方法,则依赖观测器估计。
三、控制系统设计
FOC控制系统包括电流环、速度环和SVPWM模块。设计时需考虑动态响应和稳定性。
1. 电流环设计
电流环作为内环,需快速响应。其传递函数可简化为:

其中LL为等效电感(对于d轴和q轴可能不同)。PI控制器形式为:

参数KpKp和KiKi可通过极点配置或经验法整定。例如,带宽设为开关频率的1/10以下,以避免噪声。我在调试中常用阶跃响应测试:先设Ki=0,调整Kp至临界振荡,再引入Ki消除静差。
2. 速度环设计
速度环外环基于机械方程:

其中J为转动惯量,Te为电磁转矩(正比于iq),Tl为负载转矩,B为阻尼系数。速度环PI参数需较电流环更保守,以避免超调。实践中,我常使用增量式PI,避免积分饱和。
3. SVPWM实现
SVPWM将α-β电压矢量转换为PWM信号,以驱动三相逆变器。其优势在于提高直流电压利用率和降低谐波。算法步骤包括:
确定电压矢量所在扇区;
计算基本矢量作用时间;
生成PWM占空比。
公式基于α-β分量:

其中TsTs为PWM周期,UdcUdc为直流母线电压,θsθs为扇区角。在微控制器中,需优化计算以避免浮点运算。
四、工程实现挑战
FOC的工程化面临硬件限制、参数不确定性和实时性要求。以下结合我的经验讨论关键问题。
1. 电流采样与硬件设计
电流采样精度直接影响FOC性能。常用方案包括:
分流电阻配合运算放大器:成本低,但需注意噪声和温漂;
霍尔电流传感器:隔离性好,但存在相位延迟。
在PCB布局中,我建议将采样电路靠近电机连接器,减少寄生电感。同时,使用同步采样技术,在PWM中点采样以避开开关噪声。
2. 位置传感与传感器less技术
位置传感器(如编码器)提供高精度θθ,但增加成本和体积。传感器less FOC通过反电动势或高频注入估计位置,适用于低成本应用。反电动势法在低速时失效,我曾在风扇项目中结合开环启动过渡到闭环。高频注入法可解决低速问题,但增加算法复杂度。
3. 参数辨识与自适应控制
电机参数(RsRs, LdLd, LqLq, ψfψf)随温度和工作点变化。离线辨识方法包括直流测试和空载测试。在线自适应策略,如模型参考自适应系统(MRAS),可实时更新参数。我在实践中采用递推最小二乘法,在启动阶段进行辨识。
4. 实时计算与微控制器选择
FOC算法需在几十微秒内完成,因此选择带FPU的ARM Cortex-M系列MCU。代码优化包括使用定点运算和查找表(用于三角函数)。我常将Clarke/Park变换封装为中断服务例程,确保定时性。
五、实践经验与调试技巧
基于多个项目总结,以下调试步骤可提高效率:
初始检查:验证硬件连接,使用示波器检测P波形和电流波形。
开环测试:先运行开环V/f控制,确认电机旋转正常,测量反电动势波形。
电流环调试:注入阶跃电流参考,调整PI参数至无超调响应。注意电流采样延迟补偿。
速度环调试:逐步增加负载,观察速度跟踪性能。使用波特图分析稳定性。
故障处理:常见问题包括电流振荡(检查PI参数或采样同步)、位置跳变(校准传感器)和过热(优化热管理)。
案例:在无人机推进系统中,我遇到高速时转矩下降问题,原因为idid非零引起磁场削弱。通过调整idid参考为负值,扩展了速度范围。
六、未来趋势与总结
FOC在BLDC电机中持续演进,结合AI参数自整定和预测控制,可进一步提升动态性能。工程实践中,关键在于平衡理论理想与硬件现实。本文系统解析了FOC的原理、实现和调试,希望对读者有所启发。FOC不仅是算法,更是系统工程,需多方协作与迭代优化。
总之,BLDC电机的FOC控制为实现高性能驱动提供了强大工具。通过严谨的数学建模和细致的工程调试,可克服挑战,发挥其最大潜力。欢迎读者在CSDN平台交流实践中的问题,共同推动技术进步。
参考文献
P. Pillay and R. Krishnan, “Modeling of permanent magnet motor drives,” IEEE Transactions on Industrial Electronics, 1988.
J. Holtz, “Sensorless control of induction motors,” Proceedings of the IEEE, 2002.
个人工程笔记与项目总结。
本文由电机控制专家基于多年实践经验撰写,旨在分享实用知识,转载请注明出处。LaTeX公式用于确保学术严谨,如有疑问欢迎在CSDN留言讨论。
