一.泰勒公式

泰勒公式是将一个光滑函数在某一点附近展开为幂级数(多项式级数)的工具。它基于函数在该点的各阶导数值。
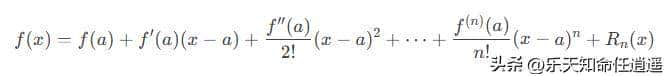
设函数 f(x)在点 a 处具有 n+1 阶导数,则对于 x在 a 附近,有:

其中 Rn(x) 是余项(误差项),常用形式有:
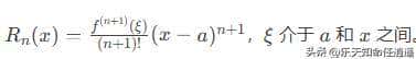
拉格朗日余项:

皮亚诺余项:

收敛性:级数收敛半径为 ∣x−a∣<R,其中 R 由函数的奇点决定(如通过比值判别法)。

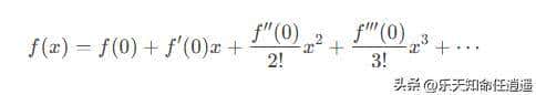
特例:麦克劳林级数(Maclaurin Series)
当 a=0 时,泰勒公式简化为:


二.拉格朗日反演公式(Lagrange Inversion Theorem)
核心思想:当直接求反函数困难时,通过原函数的导数构造反函数的泰勒展开。
适用条件:
y=f(x) 在 x=a解析(或无穷可微),且 f(a)=b。
关键要求:f′(a)≠0(保证局部可逆)。
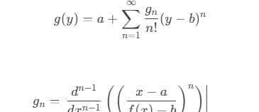
公式形式:反函数 x=g(y)在 y=b处的展开为

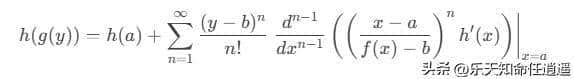
推广形式(含复合函数):若 h(x)解析,则

提示:拉格朗日反演公式是组合数学中生成函数的基石.
典型示例:
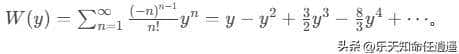
求 y=xe^x的反函数(朗伯W函数)
a=0,b=0,f′(0)=1≠0。


泰勒公式 vs. 拉格朗日反演公式
|
特性 |
泰勒公式 |
拉格朗日反演公式 |
|
目标 |
展开函数 f(x) |
展开反函数 g(y)(y=f(x)) |
|
展开点 |
围绕 x=a |
围绕 y=b=f(a) |
|
核心条件 |
f在 a 光滑 |
f′(a)≠0(可逆性关键) |
|
系数来源 |
直接求K阶导 |
复合导数运算 |
|
复杂度 |
一般简单 |
需高阶导数技巧 |
|
典型场景 |
函数逼近、数值积分 |
隐式关系解析解、生成函数 |
泰勒公式的本质:
通过导数信息重构函数局部行为,余项控制误差。
局限性:收敛半径受限(如 1/(1+x²)在 ∣x∣<1收敛,但实轴上无奇点;复变中奇点在 x=±i)。
拉格朗日反演的本质:
利用复分析留数定理证明,系数 gn 本质是柯西积分公式中的留数。
几何解释:当 f′(a)≠0 时,曲线 y=f(x)在 (a,b) 处局部单调,反函数存在且光滑。
联合应用场景:
求解方程 z=f^−1(w):
先用拉格朗日反演得 z 关于 w 的级数,再用泰勒展开复合函数。
微分方程:如 y′=F(x,y) 的级数解,结合两种展开技巧。






真有趣👏
收藏了,感谢分享
关键点是不是表现在幂级数展开和导数同一?