目录

摘要
本文以某机器人公司的实用运放电路为例,对电阻分压、RC低通滤波、RC高通滤波、信号相位、信号截止频率、同向比例放大器、RC Snubber电路、Zobel Network电路等进行了详细的分析理解和参数计算,将模拟电路的多种知识理论和实践应用融会贯通,可供电子初学者学习了解,同时也能为已从事电子研发设计者,提供有用的参考和协助。
引言
前不久,德力威尔王术平的一个在深圳一家机器人公司做硬件开发的徒弟,说他们公司的产品用到了集成运算放大器,因此,他问了我一些关于集成运放电路分析以及参数计算的问题,其中最主要的一个问题就是:“2.5KHZ的方波,被放大了多少倍?”。部分聊天内容如图1-1所示:

图1-1 关于集成运放的聊天内容
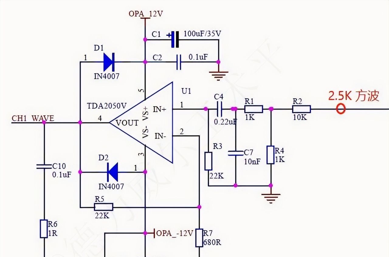
该徒弟所在机器人公司实际产品原理图(运放部分),如图1-2所示:

图1-2 实际产品原理图(运放部分)
咱们电子专业科班出身的朋友可能要说了,集成运放,这还不简单?不就是反向输入、同相输入以及差分输入三种基本放大电路吗?
没错,集成运放三种基本放大电路分别是反向输入放大器、同相输入放大器以及差分输入放大器,但是这三种电路仅仅是教科书上讲的基本电路而已(如图1-3所示)。

图1-3 三种基本集成放大电路的比较
为什么说是基本电路呢?由于教课书(如模拟电子技术基础)上只是阐述基本原理和基本应用方法,为想要继续深入研究及实践的人打下基础而已,而在实际电子产品应用开发时,对集成运放电路的设计要复杂的多,其应用设计电路多达数百种,如《集成运放应用电路设计360例》(如图1-4)一书中,列举了360种集成运放应用电路设计方法。

图1-4 《集成运放应用电路设计360例》参考书
由于集成运放应用电路设计方法复杂多变,再加上,在实际的应用电路中,为了提高电磁兼容EMC、信号完整性SI以及电源完整性PI等性能,往往还要增加许多的保护及滤波电路,这样一来,导致实际的集成运放应用电路更加庞大复杂,仅靠书本上的基础知识很难进行原理分析理解和元件参数计算了。哪怕是一名老模电工程师,当遇到某个特殊运放电路(如微积分电路、多阶滤波电路、移相振荡器等)时,也无法立即全部搞懂,也需要经过电路分析、参数计算、原理仿真以及测试验证等环节后才能理解掌握。
下面,德力威尔王术平以徒弟所在机器人公司的实际电路原理图(图1-2)为案例进行原理分析和参数计算,为其解答“2.5KHZ的方波,被放大了多少倍?”之疑问,也供初学电子的朋友参考学习。
第一节 电路分析及计算

图1-5 集成运放电路分析
1.1 原理概述
TDA2050V是一个音频功率放大芯片,俗称功放。如图1-5这种连接拓扑,构成了一个同向输入比例放大电路,实现放大交流信号的目的。
输入端是一个2.5KHz的方波交流输入信号,经过R2、R4分压来衰减输入信号,经过R1、C7低通滤波,再经C4、R3高通滤波,两级滤波实现一个带通滤波电路,同时C4又起到退耦直流耦合交流的作用,交流信号通过C4耦合到运放U1的同向输入端IN+,进入运放内部进行放大。
输出端由R5、R7及C15组成交流负反馈电路,实现交流信号同向比例放大。R6、C10构成RC Snubber电路,旨在消除高频自激振荡,抑止瞬态尖峰电压,D1、D2起到输出过压保护的目的。
1.2 分步解析
1.2.1 R2、R4分压电路

图1-6 R2、R4分压电路
如图1-6(图1-5中的①部分),输入端来自前级的2.5KHZ方波信号(可以为模拟音频信号),R2、R4构成分压电路,用来衰减输入的方波信号,方波信号幅值衰减到原来的9.09%,其计算过程如下:

1.2.2 R1、C7低通滤波电路

图1-7 R1、C7低通滤波电路
1. 计算低通滤波信号截止频率
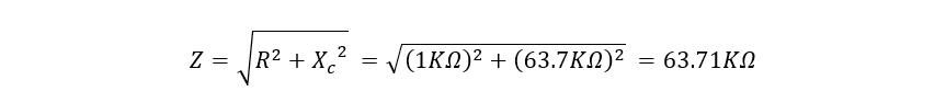
如图1-7(图1-5中的②部分),R1、C7组成低通滤波电路,其截止频率fc为15.92KHZ(高于此频率,信号幅值衰减到原来70.7%以下,认为信号被拒绝通过,低于此频率,认为此信号是可以通过的,所以被称为RC低通滤波),其计算过程如下:

2. 计算低通滤波信号幅值衰减率
本级电路输入信号频率为2.5KHz,远远低于截止频率15.92KHZ,所以信号可以通过此电路向左边输出,其输出电压就是C7两端的电压,但是R1两端会分压产生信号衰减,经计算得出,在C7两端的输出电压幅值衰减到前级信号幅值的99.98%,可以认为几乎无衰减,其计算过程如下:
(1)计算C7的容抗Xc:

(2)计算R1、C7串联电路总阻抗Z:

(3)计算C7分压比率:

根据计算结果来看,对于2.5KHZ的方波输入信号,本级RC低通滤波几乎没有衰减。
3. 计算低通滤波信号相位
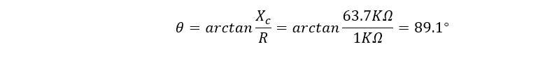
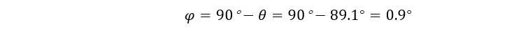
C7的电压Vc相位是滞后于输入信号电压Vin的相位的,其相位角滞后0.9°。其计算过程为:
(1)计算输入信号电压和输入信号电流之间的相位角:
从上题已知,Xc=63.7KΩ,R=1KΩ,则代入公式求相位角,如下所示:

可见,电路相位角即输入电压滞后与电流89.1°。
(2)计算C7的电压和输入电压之间的相位角:

可见C7输出电压滞后于和输入电压0.9°,已经很小,几乎可以忽略。
1.2.3 C4、R3高通滤波电路

图1-8 C4、R3高通滤波电路
1. 计算高通滤波信号截止频率
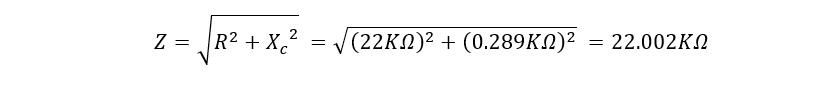
如图1-8(图1-5中的③部分),C4、R3组成高通滤波电路,其截止频率fc为32.88HZ(低于此频率,信号幅值衰减到原来70.7%以下,认为信号被拒绝通过,高于此频率,认为此信号是可以通过的,所以被称为RC高通滤波),其计算过程如下:

2. 计算高通滤波信号幅值衰减率
同样,前级电路输入信号频率为2.5KHz,远远高于截止频率32.88HZ,所以信号可以通过此电路向左边继续输出,其输出电压就是R3两端的电压,但是C4两端会分压产生信号衰减,在R3两端的输出电压幅值衰减到前级信号幅值的99.9%,可以认为几乎无衰减,其计算过程如下:
(1)计算C4的容抗Xc:

(2)计算R3、C4串联电路总阻抗Z:

(3)计算R3分压比率:

根据计算结果来看,对于2.5KHZ的方波输入信号,本级RC高通滤波几乎没有衰减。
另外,有R3的存在,即使外部没有输入信号(输入端悬空),也能保证运放输入为0,输出也为0。
3. 计算高通滤波信号相位
R3的电压VR相位是超前于前级信号电压Vin的相位的,其相位角为超前0.013°。其计算过程为:
(1)计算前级输入信号电压和输入信号电流之间的相位角:
从上题已知,Xc=0.289KΩ,R=22KΩ,则代入公式求相位角,如下所示:

可见,电路相位角即前级输入电压滞后与输入总电流0.013°。
(2)计算R4的输出电压和前级输入信号电压之间的相位角:
流过R4的电流和R4两端的电压相位是一样的,由于是RC串联电路,电流处处相等,所以R4的电流和前级输入信号总电流相位一样,那么R4的电压相位和输入总电流相位一样,也就可以推出,前级输入信号的电压滞后于R4两端的输入电压0.013°,也可以说成是R4的输出超前于输入信号电压0.013°。
可见R4输出电压超前前级电压0.013°,已经很小,几乎可以忽略。
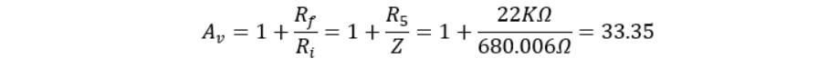
1.2.4 R5、R7、C15电压负反馈电路

图1-9 R5、R7和C15组成的电压负反馈电路
如图1-8(图1-5中的④部分),R5为反馈电阻,R7为反向输入端输入电阻,C15为退耦电容(Decoupling Capacitor),C15退耦直流,耦合交流(C15上也会有极小的交流压降),构成交流电压负反馈回路。该电路的连接方式构成了一个同相输入放大器,交流放大倍数为33.35倍,其计算过程如下:
(1)计算C15的容抗

(2)计算R7、C15的阻抗

可见R7、C15的阻抗近似等于R7电阻阻值,这里c15容抗很小,可以忽略。
(3)计算交流放大倍数Av:

可求得交流放大倍数为33.35倍。
1.2.5 运放工作电源电路

图1-10 正负电源供电电路
运放U1是一个双电源芯片,第5脚接正电源+12V,C1、C2旁路正电源噪声,提高正电源电源完整性,第3脚接负电源-12V,C12、C14旁路负电源噪声,提高负电源电源完整性。
C1、C12为有极性旁路电容(Bypass Capacitor),容量大、体积大,对运放电源引脚外部旁路低频噪声,对电源引脚内部储能及稳压作用;C2、C14也为无极性旁路电容,容量小、体积小,起到旁路外部高频噪声,同时也能退耦内部由于电源轨道塌陷引起的反向输出的高频噪声(此运放内部信号为低频,所以此处退耦作用不大,主要还是旁路电源外部的高频噪声)。
1.2.6 输出端RC Snubber电路

图1-11 RC Snubber电路
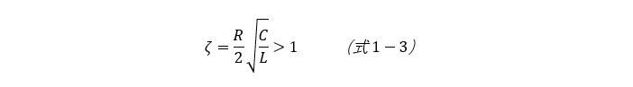
如图1-11(图1-5中的⑥部分),C10、R6串联后把输出端和地连在一起,组成一个RC Snubber电路,也就是RC缓冲(吸收)电路。其作用是降低谐振频率f0,稳定频率,增大谐振阻尼系数ζ,避免高频自激振荡,降低谐振电压VL(VC),削减高频尖峰,抑止瞬态浪涌电压,减小EMI电磁干扰,保护器件不被损坏;电容C通高阻低,滤高频,电阻R用来消耗高频能量。
1. 瞬态尖峰电压产生的机理和危害
经过放大的信号,从运放输出端输出,经PCB导线或其他导线连接到后级的负载,由运放输出端、连接导线以及负载等组成的电路网络存在寄生的串联电感Lp、寄生的串联电容Cp以及寄生的串联电阻Rp,这个电路网络就构成了一个等效RLC串联电路,如图1-12所示:

图1-12 等效RLC串联电路
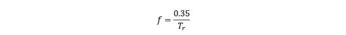
在驱动端突然输出或中断以及负载端热插拔过程中,信号的瞬态变化(上升沿Tr、下降沿Tf小)时,会产生频率范围很宽的谐波分量(电感电容相互交换能量所致),这些谐波就成为了EMI干扰,其干扰频率的最高频率,我们称之为EMI带宽,其计算公式如下:

式中,f为EMI最高频率(带宽),单位HZ; 0.35为系数;Tr为信号上升沿,单位S。
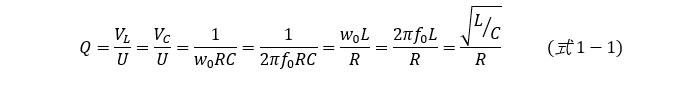
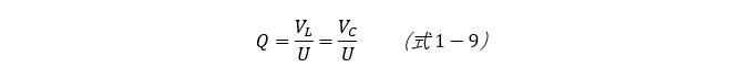
频率范围很宽的谐波中的某个频率,很大几率将成为所在电路的谐振频率,会导致RLC网络发生串联谐振,在电感和电容两端将产生过冲电压(超过电压源许多的瞬态尖峰电压),这是串联谐振的特有现象,所以也叫电压谐振。电容电压和电感电压高到什么程度呢?与谐振电路的品质因数有关,品质因数又称Q值,Q值计算公式有许多种,如下所示:

式中,Q为品质因数,无量纲,无单位;U为电源电源,单位V;VL、Vc分别为电感电压和电容电压,单位是V;R为串联电阻,单位是Ω;C为串联电容,单位F;W0为谐振角频率,单位rad/s,w0=2πf0;f0为为谐振频率,单位hz;L为串联电感,单位H。
从式1-1可以看到,VL=VC=QU,也即是电感电压和电容电压与品质因数成正比。谐振电路的Q值一般是大于1的,Q值越大,电感电压、电容电压就越大,将远远超出电源电压。
这些远远超过电源电压的谐振电压,就形成了振荡过冲尖峰电压,对电路造成电磁干扰和过压损坏。
2. RC Snubber电路的作用
为了有效减小这种谐振过冲电压带来的危害,提高系统设计的鲁棒性,就需要在电路中加入缓冲、抑制及保护电路, RC Snubber就是其中的一种。

式中,ζ为阻尼系数,无量纲,无单位;R为串联电阻,单位Ω;C为串联电容,单位F;L为串联电感,单位H。
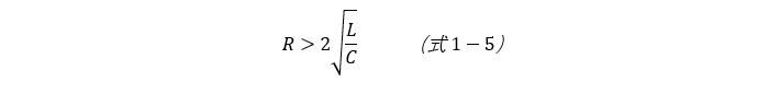
那么,如何设计RC Snubber电路呢?加入 RC Snubber电路的目的就是防止串联谐振,从而抑止电感、电容上产生的谐振高压。根据RLC二阶电路阻尼系数公式(如式1-2),我们知道,阻尼系数ζ=1为临界阻尼,ζ>1过阻尼,ζ<1为欠阻尼。要防止RLC串联谐振,就要增加阻尼系数,使RLC二阶电路的阻尼系数至少大于1,即满足下式要求:

从上式可知,增大电阻R或电容C,减小电感L的值都能增加阻尼系数,如果电感L越大,电阻R和电容C越小的话,阻尼系数就大大的小于1了,品质因数Q就越大,谐振电压就越高。在实际工程中,往往导线寄生电阻Rp和寄生电容Cp较小,寄生电感Lp较大,如果负载是感性负载的话,那整个等效串联电感就更大,阻尼系数就更小,品质因数Q值就越高,在电容、电感上产生的谐振高压就更大,所产生的危害就越大。
所以,我们要加入RC Snubber电路,增大RLC串联电路中的R和C的值,从而增大阻尼系数,防止高频谐振,抑止谐振高压。
3. 如何设计RC Snubber电路

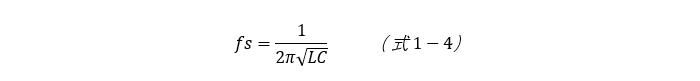
由于电路本身构成了等效串联RLC电路,在信号突变时,会产生谐振电压,我们在原电路上再加上一个RC电路,从而增大原RLC等效串联电路中的R和C的值,降低了谐振频率(从式1-4可以看出),从而增大阻尼系数(从式1-3可以看出),防止高频谐振,抑止高压。新增RC Snubber电路如图1-13所示:

图1-13 新增的RC Snubber改变原有的RLC电路
如图1-13,我们将RC阻容器件先串联起来,然后并接在被保护端口,由Rp、Lp、Rs、Cs和负载组成新的RLC回路。
在实际工程设计中,由于寄生参数Rp、Cp、Lp往往难以确定,一般难以从理论上去准确分析设计缓冲器(包括人工计算或软件仿真),所以经验方法更加实用。
下面我们采用初略估算加实测调整的方法,来设计一个合理的RC Snubber电路。
原RLC等效串联电路中的寄生参数Rp、Cp、Lp往往与驱动端、负载端以及电路走线长度、宽度、厚度及参考环境密切相关,无法准确计算,在这里,我们以1OZ铜厚,0.254mm宽度,200mm长度的PCB表层走线为例进行估算:
(1)假设驱动端以及负载端呈阻性,其寄生电感、电容、电阻超级小,在此先忽略。
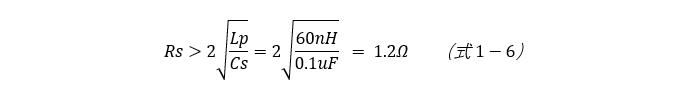
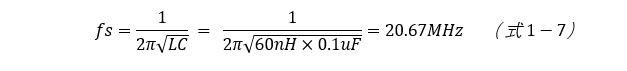
(2)估算Lp的值:200mm的PCB走线,估算结果:Rp≈0.38R,Cp≈26pF,Lp≈60nH。由于这里Rp、Cp很小,另外我们在新增的RC Snubber电路中还要增加Rs和Cs,所以在此忽略Rp和Cp。但是Lp最重大,不能省略,所以这里Lp≈60nH。
(3)估算Cs的值:RC Snubber电路中的Cs取值:取值过大,阻抗变低,正常交流信号受到衰减,而且大电容体积也较大,引脚ESL较大,导致阻尼系数变低,Q值变高,谐振电压变高;取值过小,阻尼系数变低,Q值变高,谐振电压变高,所以业界经验值为0.1uF~1uF之间的无极性贴片陶瓷电容最为合适。在这里,我们选0.1uf的贴片陶瓷电容。
(4)估算Rs的值:从式1-3可以推导出式1-5:

R越大于右边,阻尼系数ζ就越大于1,品质因数Q(见式1-1)就越小,就越能降低谐振电压、抑止尖峰,将L=60nH,C=0.1uF代入上式:

求得Rs>1.2Ω。由于我们在前面忽略了导线寄生电阻Rp,所以这里可以取Rs≈1Ω。
(5)估算新的RLC串联谐振频率:

(6)计算发生RLC串联谐振时的谐振电压:
求品质因数Q:

求谐振电压VL、Vc:
根据公式

可得:

可见,谐振电压被抑止到电源电压的10%。
(7)参数实测调整
通过以上估算,我们可以得到RC Snubber电路的设计参数,这里汇总一下:
电阻Rs取值1欧姆,电容Cs取值0.1uF,谐振频率fs为20.67MHz,谐振电压VL(Vc)为电源电压的10%。不过这里的前提条件是,原电路寄生的串联等效电感我们估算的是Lp=60nH,以及原电路寄生电容Cp和寄生电阻Rp被忽略,特别是等效串联电感Lp,影响最大,在实际的工程电路中,肯定会或高或低、有所不同。
我们来预估一下实际工程中的三种情况:
第一种情况,实际应用电路Lp比60nH更小,那么谐振频率更高,品质因数更低,阻尼系数更大,谐振电压更低,所以实际的RC尖峰吸收效果更好;
第二种情况,实际应用电路Lp比60nH大,大多少呢?我们以大于100倍为例来计,也就是以Lp=6uH来计,那么谐振频率降低10倍,为2.067MHz;品质因数提高10倍,为0.77;阻尼系数更小;谐振电压增大10倍,为电源电压的77%;也就是实际的尖峰比电源电压还低,也能达到很好的尖峰吸收效果。
第三种情况,如果负载是感性负载,假设其电感量为我们原来估算的10000倍来计,也即是Lp=0.6mH来计,那么谐振频率降低100倍,为0.2067MHz;品质因数提高100倍,为7.7;阻尼系数缩小100倍,谐振电压增大100倍,为电源电压的7.7倍,此时就产生了比电源电压大数倍的尖峰电压。由此可见,电感量越大尖峰电压越高。所以如果负载为感性,如电动机、变压器之类的,需要重新设计RC Snubber电路,重新调整Rs和Cs的值。
总之,先估算电路参数,等产品样机出来后,利用信号发生器、示波器等工具进行实测,根据实测结果进行适当调整,最终得到一个准的确 用的RC Snubber电路。
4、RC Snubber与Zobel Network的区别

图1-14 RC Snubber电路
本文已经对RC Snubber的作用、设计方法作了详细阐述。如图1-14所示,一个电阻和一个电容C就组成了一个RC Snubber电路,RC Snubber电路用于降低谐振频率,抑止高频谐振,缓冲吸收瞬态浪涌尖峰电压,减小EMI电磁干扰,保护器件不被高压击穿损坏。
Zobel Network电路与RC Snubber电路的连接拓扑类似,如下图1-15所示:

图1-15 Zobel Network 茹贝尔网络电路
可见,Zobel Network电路也是由一个电阻R和一个电容C组成,但它和RC Snubber作用有所不同。
扬声器阻抗均衡电路,也称为Zobel Network,中文译为茹贝尔网络。Zobel Network是一个串联电阻电容(R-C)网络,多用于与低频扬声器并联,以抵消扬声器音圈电感L的影响,由于扬声器的音圈本身就是一个电感器,所以扬声器的阻抗随着频率的增加而增加,就像电感器一样,茹贝尔电路串联电阻电容来抵消由电感电抗引起的音圈阻抗上升,使扬声器近似为一个纯电阻负载,以提高低频响应,提升音质。
茹贝尔电路参数计算如图1-15中的公式,式中,Rz为茹贝尔串联电阻,单位Ω;Re为扬声器的直流电阻,单位Ω;Cz为茹贝尔串联电容,单位F;Le为扬声器音圈电感,单位H。除此之外,国外还有许多网站有在线的茹贝尔电路参数计算器。大家可以根据公式或计算器很方便的设计出所需要的茹贝尔电路。
1.2.7 D1、D2过压保护电路
如图1-5中的⑧部分,由D1、D2组成一个钳位电路,对运放输出端起到过压保护。D1阳极连到运放输出端,阴极连到正电源+12V,将输出电压钳位到12.7V;D2阳极连接负电源-12V,阴极连到运放输出端,将输出电压钳位到-12.7V;D1、D2将输出电压限制在-12.7V~+12.7V之间,保护前级运放以及后级负载不被过压损坏。
1.2.8 2.5KHz的方波被放大了多少倍
通过以上电路的分析理解和计算,我们对该实用电路的工作原理有了深入的理解,那么我们最后来算一算,2.5KHz的方波被同相比例放大器放大了多少倍?
(1)输入信号被R2、R4分压电路衰减到9.09%;
(2)输入信号接着被R1、C7低通滤波衰减到99.98%;
(3)输入信号又被C4、R3高通滤波衰减到99.9%;
(4)输出信号被R5、R7、C15组成的负反馈电路放大了33.35倍。
总的交流电压放大倍数为:

交流电压放大后的相位:
输入信号被R1、C7低通滤波电路滞后了0.9°,又被C4、R3高通滤波超前了0.013°,总的电压滞后了约0.9°,在此,几乎可以忽略不计。
结语
2.5KHz的方波信号被同相比例放大器放大了3.04倍,相位几乎不变。
本文由德力威尔王术平原创,欢迎转载,引用请注明出处,严禁抄袭,全网维权。
本文参考资料:
1. 《TDA2050规格书》。
2.《AW3215规格书》。
3.《集成运放应用电路设计360例》,王昊,李昕编著
4.《模拟电子技术基础》(第五版),童诗白,华成英编著
5. http://diyAudioProjects.com/



又让我回忆起模电数电
难忘的回忆!
运放分析
这文章写得好
不错的文章。
C7的容抗为什么我算出来差了一位6.37千欧?
你是最棒的你的计算结果是对的。我书写时,小数点位置放错了,还好,由于是用该阻抗来计算百分比,最终计算出的衰减率差别不大。谢谢纠错!
点个赞
1)计算输入信号电压和输入信号电流之间的相位角:从上题已知,Xc=63.7KΩ,R=1KΩ,则代入公式求相位角,如下所示:可见,电路相位角即输入电压滞后与电流89.1°。这里我重新计算的话是81.1°,对吗?另外,这里是不是电流滞后于电压81.1°?
重新计算的结果81.1是对的,电容的电压总是滞后于电容的电流的。输入电压滞后输入电流81.1(整个电路看),而电容电压滞后于输入电压90-81.1=8.9度。
学习了多谢了
经典呀
不同于教科书,实用!
很好!!!