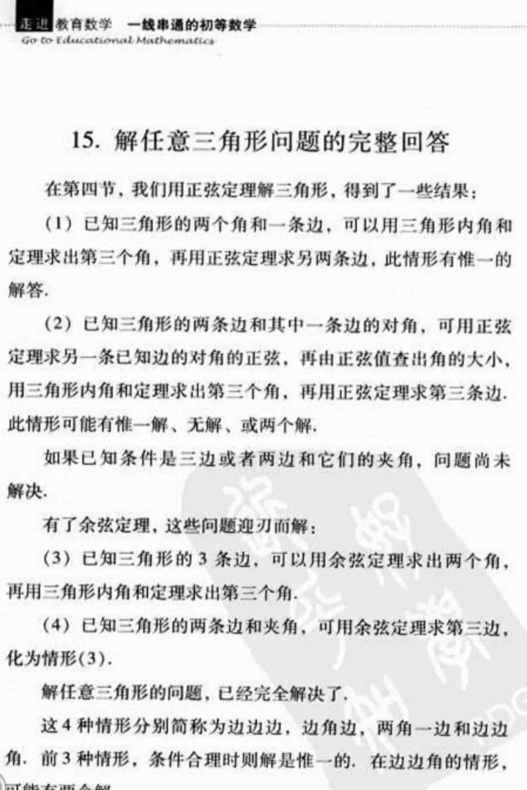
从三角形的稳定性知道,三角形的三边确定后,它的形状也就确定了。那么,已知三角形的三边长度,如何计算这个三角形的三个内角的度数呢?
关于这个问题,可谓前人之述备矣。第一介绍不用公式和函数表的行军三角学,第二单元再论述这个问题的普通解法。
大大简化的行军三角学
《趣味几何学》第五章:不用公式和函数表的行军三角学。
本章介绍的是大大简化的三角学。第一简述了正弦函数的概念,然后论述了如何自己编制一个正弦函数表。当然,由于是简化三角学,这张表给出的是0°到90°之间每隔一度的角度的正弦值,精度为小数点后两位。
由于代数课本里教的开平方的方法很容易忘记,所以别莱利曼又介绍了一个容易理解和掌握的开平方方法。
接下来介绍了根据已知正弦值求角度的近似方法。这样,别莱利曼就完成了全部的准备工作。目前我们可以从角度求出它的正弦值,也会从它的正弦值求出角度,而且精度满足简化三角学的要求。
当你在郊外旅行的时候,身边没有三角函数表,三角公式又忘记了,这种简化三角学很有用处,能够计算三角形的边长准确到2%,三角形的内角准确到1°。例如鲁滨逊,他在荒岛上可以用这种简化三角学解决许多问题。
这种简化三角学只使用正弦函数,难道说这就够了?对于这个疑问,作者用5道例题证明,只知道正弦函数已经完全够用了。例题精选:三角形地区

[题]我们在旅行中,用脚步量出了一个三角形地区三边的长度,是43,60和54步。这三角形的三个角的度数各是多少?
题目背景
题目来自苏联科普作家别莱利曼的经典著作《趣味几何学》。
[解]这种由三边来解三角形的题目,是解三角形中最复杂一种情形。但是我们也同样有办法解答这个题目,除正弦外不用其它三角函数。
在最长的一边 AC 上作三角形的高 BD (图96),得:
BD²=43²-AD² ,
BD²=54²-DC²,
从上列二式得:
43²- AD²=54²-DC²,
DC² – AD² =54²-43²=1070。
但是
DC² – AD²=( DC + AD )( DC – AD )
=60( DC – AD )。
因此
60( DC – AD )=1070,
DC – AD =17.8。
由 DC – AD =17.8,
DC + AD =60,
得:2DC=77.8,
就是 DC=38.9。
目前就不难算出三角形的高来:
BD =√(54²-38.9²)=37.4,
从这里可以求出:
SinA =BD:AB=37.4:43=0.87,
A≈60°。
sinC =BD:BC=37.4:54=0.69,
C≈44°。
第三个角
B =180°-( A + C )=76°。
如果我们目前再用学校里的三角学课本所教给我们的方法,利用函数表来解出这个题目,那么,马上可以得到准确到几分几秒的各角的度数。但是这些分秒我们可以断定它们必定是错误的,因对用脚步量出来的三角形的边长,至少会有2%~3%的误差。因此,我们用不着欺骗自己,我们必须把所得到的角度的“准确”值至少变成一个整度数。那么,我们所得到的答案将和方才简化方式所得时一样。所以,在这一类的情形,我们的“行军三角学”的确是很切实用的。
普通方法解答例题三角形地区
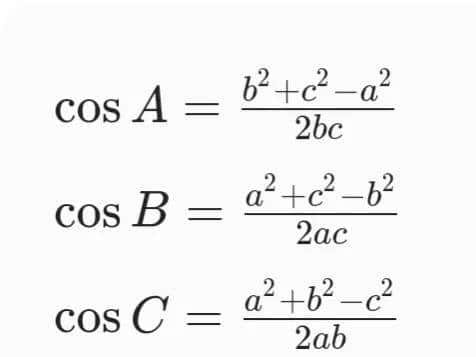
一般的思路是利用余弦定理解题。先看公式:

上图是余弦定理的基本公式。公式虽然有三个,但写出一个后,可以通过循环置换得到另外两个。
当我们要求边时,有变式1:

如果要求角,有两个变式:

求角的变式1
还有一个变式:

求角的变式2
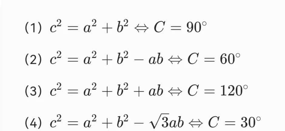
还有关于特殊角的温馨提示:

几个边角转化特例
还有余弦定理的角元形式:

余弦定理还有一个很有用的变式:

求面积请看下图:

目前回到例题三角形地区,我们用余弦定理求角的变式2来解答。

下面,我们先求角A。直接套公式可得:

用微软数学计算反三角函数
上图计算得出的角A的度数是弧度,我们把它转化为角度:
弧度×180÷π=角度
1.057683623×180÷π
=60.600807658°
=60.6°

顺便说一下,已知角度转化为弧度的公式是:弧度=角度×π÷180
接下来继续求角B。
同理可得,

角B的角度(弧度)
把弧度转化为角度:

那么,角C也知道了:
C=180-(60.6+75.5)=43.9°
还有一个问题,如果出题老师把题目变一下,从已知三边变成已知两边和夹角,那么,还会不会做呢?
这很简单,请看下图:

特别收录
张景中先生科普书中的资料。

对于只用到正弦函数的简化三角学,下面这张表最合适。

总结和感想
《趣味几何学》是苏联著名科普作家别莱利曼百余部作品之一。
这本书不仅为数学爱好者而写,也为那些还没有发现数学上许多引人入胜的东西的读者写的。
许多读者曾经在学校(或目前正在学)学过几何学,但并不习惯去注意在我们周围世界里各种事物常见的几何关系。不会在实际方面应用学到的几何学知识。在生活中遇到困难的时候,在郊游和露营的时候,不知道怎样应用学到的几何学知识。
引起读者对几何学的兴趣,或者照作者的话说:“引起研究它的愿望,培养研究它的嗜好,是本书的主要任务。”
为了这个目的,作者把几何学从学校教室的围墙里,从科学的围城中,引到户外去,到树林里,到原野上,到河边,到路上,在那里摆脱教科书和函数表,无拘无束地来做几何作业,利用几何知识重新认识秀丽的世界……
例如不用公式是函数表的行军几何学。教材里的几十个三角公式让许多学生望而生畏,而简化三角学居然只用正弦函数,不用公式和函数表,就能解决许多实际问题,精度满足行军三角学的要求。
例如本文提到的已知三边求三角的问题,普通思路是用余弦定理解题。而作者坚信行军三角学的存在,所以,只用正弦函数也能解决问题。而且,综览全书,居然没有使用正弦定理,我觉得用了也不犯规啊。
在此,也能够感受到信念的力量。由于信任,所以看见。所以能够超越常规思路的局限,看见只用正弦函数的精彩解法。
作者的精彩解法包含了正弦函数的概念,勾股定理,平方差公式,列方程以及小学数学的和差问题等等知识点。这些知识点并不难,但是作者的综合法和灵活运用让人赞叹。
这背后蕴藏着熟能生巧的原理。熟练不仅生巧,还能够带来牢固,产生灵活。所以,天下没有免费的午餐,同学们,学习没有捷径,请从多做练习开始吧!

今天是七夕节,祝大家七夕快乐!





收藏了💪
收藏了,感谢分享