本文较长,提议点赞收藏,以免遗失。更多AI大模型应用开发学习内容,尽在官网-聚客AI学院大模型应用开发微调项目实践课程学习平台
一. 神经网络概述
神经网络是模拟生物神经系统工作方式的数学模型,通过多层非线性变换实现复杂模式识别。其核心价值在于:
- 自动特征提取:无需人工设计特征(如传统机器学习的SIFT/HOG)
- 端到端学习:从原始输入直接映射到输出(如图像→分类标签)
- 通用近似定理:单隐层网络即可逼近任意连续函数

二. 语义鸿沟:为什么让机器产生智能这么难?
2.1 核心挑战
- 符号落地问题:人类语言”猫”对应的是抽象概念,而机器只能处理像素矩阵
- 数据稀疏性:现实世界场景无限,训练数据有限(如自动驾驶的corner case)
- 因果推理瓶颈:神经网络是相关性学习,而非因果性建模
案例对比:

三. 图像向量化:从像素到数学表明
3.1 MNIST手写数字处理
将28×28灰度图像展平为784维向量:
import torch
from torchvision import datasets
# 加载MNIST数据集
train_data = datasets.MNIST(
root='data',
train=True,
download=True,
transform=transforms.Compose([transforms.ToTensor()])
# 查看数据维度
image, label = train_data[0]
print(image.view(-1).shape) # 输出: torch.Size([784])

四. 神经元:神经网络的基本单元
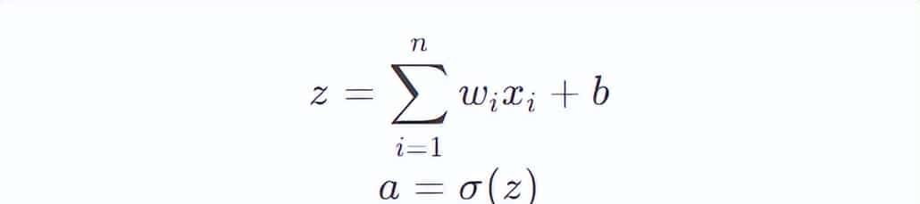
4.1 数学建模
人工神经元计算流程:

其中:
- xixi: 输入信号
- wiwi: 连接权重
- bb: 偏置项
- σσ: 激活函数(如ReLU、Sigmoid)
代码示例:实现一个神经元
class Neuron:
def __init__(self, input_dim):
self.weights = torch.randn(input_dim)
self.bias = torch.randn(1)
def forward(self, x):
z = torch.dot(x, self.weights) + self.bias
a = torch.sigmoid(z)
return a
# 使用示例
neuron = Neuron(784)
output = neuron.forward(torch.rand(784))
五. 神经网络的结构设计
5.1 典型架构
输入层(784) → 隐层(256) → 输出层(10)
参数计算:

代码示例:PyTorch实现全连接网络
import torch.nn as nn
class MLP(nn.Module):
def __init__(self):
super().__init__()
self.fc1 = nn.Linear(784, 256)
self.fc2 = nn.Linear(256, 10)
self.relu = nn.ReLU()
def forward(self, x):
x = x.view(-1, 784) # 展平
x = self.relu(self.fc1(x))
x = self.fc2(x)
return x
model = MLP()
print(model)

六. 输入层与输出层
6.1 输入层设计原则
- 归一化:将像素值[0,255]缩放至[0,1]
- 批处理:利用GPU并行计算(如batch_size=64)
代码示例:数据预处理
transform = transforms.Compose([
transforms.ToTensor(),
transforms.Normalize((0.1307,), (0.3081,)) # MNIST均值标准差
])
6.2 输出层设计
- 分类任务:使用Softmax激活函数
- 损失函数:交叉熵损失(CrossEntropyLoss)
七. 隐层:深度学习的核心
7.1 隐层作用
- 特征抽象:逐层提取高阶特征(边缘→纹理→部件→对象)
- 非线性建模:通过激活函数打破线性局限
可视化案例:
- 第一隐层:学习边缘检测器
- 第二隐层:组合边缘形成纹理模式
- 第三隐层:构建物体部件
八. 权重矩阵:神经网络的记忆载体
8.1 数学表明
对于输入层到隐层的连接:

每个元素wij(1)wij(1)表明输入神经元ii到隐层神经元jj的连接权重。
8.2 初始化策略
- Xavier初始化:保持各层方差一致
- nn.init.xavier_uniform_(self.fc1.weight)
- 8.3 参数更新
- 通过反向传播计算梯度:

- 其中ηη为学习率。
附:完整代码实现MNIST分类
# 数据加载
train_loader = torch.utils.data.DataLoader(
datasets.MNIST('data', train=True, download=True, transform=transform),
batch_size=64, shuffle=True)
# 训练循环
criterion = nn.CrossEntropyLoss()
optimizer = torch.optim.Adam(model.parameters(), lr=0.001)
for epoch in range(10):
for data, target in train_loader:
optimizer.zero_grad()
output = model(data)
loss = criterion(output, target)
loss.backward()
optimizer.step()
print(f'Epoch {epoch+1} Loss: {loss.item():.4f}')
注:本文代码基于PyTorch 2.0实现,完整运行需安装:
pip install torch torchvision matplotlib
如果本次分享对你有所协助,记得告知给身边的朋友。
© 版权声明
文章版权归作者所有,未经允许请勿转载。


收藏了,感谢分享